Online Database of Chemicals from Around the World

Peptide I (Aplysia)
[CAS# 109050-14-8]

供应商
CAS#: 109050-14-8
产品: Peptide I (Aplysia)
暂时没有厂家供应该产品。
基本信息
产品名称 Peptide I (Aplysia)
英文名 Peptide I (Aplysia)
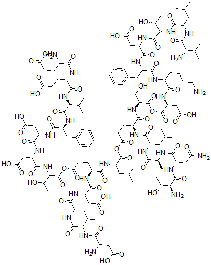
分子结构 CAS 登录号:109050-14-8, Peptide I (Aplysia)
分子式 C125H190N28O52
分子量 2917.03
CAS 登录号 109050-14-8
分子行输入简码 SMILES [C@H](C(=O)OC([C@@H](NC([C@@H](NC([C@@H](NC([C@@H](NC([C@@H](NC([C@@H](N)[C@@H](C)O)=O)CC(=O)N)=O)C)=O)CC(C)C)=O)CCC(=O)OC([C@@H](NC([C@@H](NC([C@@H](NC(CNC([C@@H](NC([C@@H](N)CC(=O)O)=O)C(C)C)=O)=O)CC(=O)O)=O)CCC(=O)OC([C@@H](NC([C@@H](NC([C@@H](NC([C@@H](NC([C@@H](NC([C@@H](NC([C@@H](N)CCC(=O)O)=O)CCC(=O)O)=O)C(C)C)=O)CC1=CC=CC=C1)=O)CC(=O)O)=O)CC(=O)O)=O)[C@@H](C)O)=O)=O)CC(C)C)=O)=O)CO)=O)(NC([C@@H](NC([C@@H](NC([C@@H](NC([C@@H](NC([C@@H](NC([C@@H](N)C(C)C)=O)CC(C)C)=O)[C@@H](C)O)=O)CC(=O)O)=O)CC2=CC=CC=C2)=O)CCCCN)=O)CC(=O)O
国际化学标识码 InChI 1S/C125H190N28O52/c1-53(2)39-71(139-101(178)59(13)133-108(185)75(45-83(129)158)144-118(195)96(131)60(14)155)109(186)137-70(106(183)149-82(52-154)124(201)205-123(200)81(50-92(174)175)148-104(181)67(29-23-24-38-126)136-110(187)73(42-63-25-19-17-20-26-63)140-114(191)78(48-90(170)171)146-121(198)99(61(15)156)152-115(192)72(40-54(3)4)143-117(194)95(130)56(7)8)32-36-93(176)203-122(199)80(41-55(5)6)147-105(182)69(138-112(189)76(46-88(166)167)134-84(159)51-132-119(196)97(57(9)10)150-103(180)66(128)44-87(164)165)33-37-94(177)204-125(202)100(62(16)157)153-116(193)79(49-91(172)173)142-113(190)77(47-89(168)169)141-111(188)74(43-64-27-21-18-22-28-64)145-120(197)98(58(11)12)151-107(184)68(31-35-86(162)163)135-102(179)65(127)30-34-85(160)161/h17-22,25-28,53-62,65-82,95-100,154-157H,23-24,29-52,126-128,130-131H2,1-16H3,(H2,129,158)(H,132,196)(H,133,185)(H,134,159)(H,135,179)(H,136,187)(H,137,186)(H,138,189)(H,139,178)(H,140,191)(H,141,188)(H,142,190)(H,143,194)(H,144,195)(H,145,197)(H,146,198)(H,147,182)(H,148,181)(H,149,183)(H,150,180)(H,151,184)(H,152,192)(H,153,193)(H,160,161)(H,162,163)(H,164,165)(H,166,167)(H,168,169)(H,170,171)(H,172,173)(H,174,175)/t59-,60+,61+,62+,65-,66-,67-,68-,69-,70-,71-,72-,73-,74-,75-,76-,77-,78-,79-,80-,81-,82-,95-,96-,97-,98-,99-,100-/m0/s1
国际化学标识检索码 InChIKey IDTVEBPFSIYFKB-XLENUICUSA-N
市场分析报告
请浏览Peptide I (Aplysia)市场分析报告总目录
相关产品
alpha-羟基甲基妥拉唑啉  5-(3-溴苯基)-1,3,4-恶二唑-2-胺  10-羟基-4-丙基-1,2,3,4,4a,5,6...  H-赖氨酰-2-(2-硝基苯基硫基)色氨酸甲酯  1-去氨基-7-赖氨酰-8-精氨酰-催产加压素  1-去氨基-(4-叠氮基苯甲酰基)赖氨酰(7)-精...  N-(((4-苯甲酰基氨基)苯基)磺酰基)甘氨酸  维吉霉素丁内酯B  维吉霉素丁内酯C  27-羟基阿维菌素  1'-甲基螺[四氢萘-2,3'-吡咯烷]-2',5...  毒芹醇  beta-丁子香酮  苯基(3,4,4-三甲基二氧杂环丁-3-基)甲基碳...  5-苯甲酰胺基-2-苄基-4-氧代-戊酸