Online Database of Chemicals from Around the World

Thevetin
[CAS# 11018-93-2]

Suppliers
CAS#: 11018-93-2
Product: Thevetin
No suppilers available for the product.
Identification
Name Thevetin
Synonyms 4-[(3S,5R,8R,9S,10S,13R,14S)-14-Hydroxy-3-[(2S,3R,4R,5R,6S)-3-Hydroxy-4-Methoxy-6-Methyl-5-[(2S,3R,4S,5S,6R)-3,4,5-Trihydroxy-6-[[(2R,3R,4S,5S,6R)-3,4,5-Trihydroxy-6-(Hydroxymethyl)Tetrahydropyran-2-Yl]Oxymethyl]Tetrahydropyran-2-Yl]Oxy-Tetrahydropyran-2-Yl]Oxy-10,13-Dimethyl-1,2,3,4,5,6,7,8,9,11,12,15,16,17-Tetradecahydrocyclopenta[A]Phenanthren-17-Yl]-5H-Furan-2-One; 4-[(3S,5R,8R,9S,10S,13R,14S)-14-Hydroxy-3-[[(2S,3R,4R,5R,6S)-3-Hydroxy-4-Methoxy-6-Methyl-5-[[(2S,3R,4S,5S,6R)-3,4,5-Trihydroxy-6-[[(2R,3R,4S,5S,6R)-3,4,5-Trihydroxy-6-(Hydroxymethyl)-2-Tetrahydropyranyl]Oxymethyl]-2-Tetrahydropyranyl]Oxy]-2-Tetrahydropyranyl]Oxy]-10,13-Dimethyl-1,2,3,4,5,6,7,8,9,11,12,15,16,17-Tetradecahydrocyclopenta[A]Phenanthren-17-Yl]-5H-Furan-2-One; 4-[(3S,5R,8R,9S,10S,13R,14S)-14-Hydroxy-3-[(2S,3R,4R,5R,6S)-3-Hydroxy-4-Methoxy-6-Methyl-5-[(2S,3R,4S,5S,6R)-3,4,5-Trihydroxy-6-[[(2R,3R,4S,5S,6R)-3,4,5-Trihydroxy-6-Methylol-Tetrahydropyran-2-Yl]Oxymethyl]Tetrahydropyran-2-Yl]Oxy-Tetrahydropyran-2-Yl]Oxy-10,13-Dimethyl-1,2,3,4,5,6,7,8,9,11,12,15,16,17-Tetradecahydrocyclopenta[A]Phenanthren-17-Yl]-5H-Furan-2-One
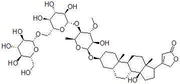
Molecular Structure CAS#: 11018-93-2, Thevetin
Molecular Formula C42H66O18
Molecular Weight 858.97
CAS Registry Number 11018-93-2
EINECS 234-249-3
SMILES [C@H]16[C@@H]([C@@]5([C@H](CC1)C[C@@H](O[C@H]4O[C@H]([C@@H](O[C@@H]2O[C@@H]([C@@H](O)[C@H](O)[C@H]2O)CO[C@@H]3O[C@@H]([C@@H](O)[C@H](O)[C@H]3O)CO)[C@H](OC)[C@H]4O)C)CC5)C)CC[C@]7([C@]6(O)CCC7C8=CC(OC8)=O)C
InChI 1S/C42H66O18/c1-18-35(60-38-33(50)31(48)29(46)26(59-38)17-55-37-32(49)30(47)28(45)25(15-43)58-37)36(53-4)34(51)39(56-18)57-21-7-10-40(2)20(14-21)5-6-24-23(40)8-11-41(3)22(9-12-42(24,41)52)19-13-27(44)54-16-19/h13,18,20-26,28-39,43,45-52H,5-12,14-17H2,1-4H3/t18-,20+,21-,22?,23-,24+,25+,26+,28+,29+,30-,31-,32+,33+,34+,35+,36+,37+,38-,39+,40-,41+,42-/m0/s1
InChIKey GZVMBXDQUQRICT-TZNWHQCUSA-N
Properties
Density 1.464g/cm3 (Cal.)
Boiling point 1008°C at 760 mmHg (Cal.)
Flash point 298.055°C (Cal.)
Market Analysis Reports
List of Reports Available for Thevetin
Related Products
(5R-trans)-5,6-Dihydro-6-[(2,3,4,6-Tetra...  3,4alpha-Dichloro-10alpha-[(2E)-3,7-Dime...  (1aS,7aR)-1a-[(2E)-3,7-dimethylocta-2,6-...  3-Diazonio-1a-[(2E)-3,7-dimethylocta-2,6...  (6S)-7-Chloro-4-Diazonio-6-[(2E)-3,7-Dim...  3,4alpha-Dichloro-9-Diazonio-10alpha-[(2...  (3R)-3-Chloro-2-[(2E)-3,7-Dimethylocta-2...  (1S,2R,3S,4S,5R,8R,9S,10R,11R)-8-Ethyl-2...  (2S)-2-[[(2R)-2-Amino-2-Phenylacetyl]Ami...  1,5,8-Trimethyl-1,2-Dihydroazuleno[6,7-B...  Youlemycin  Herbacetin 8-O-Glucoside  4'-Cinnamoylmussatioside  1(beta-Mercapto(beta,beta-cyclopentameth...  (2,3)-alpha-Methylenebenzylpenicillin