Online Database of Chemicals from Around the World

N1-(20-Amino-6,13,20-Triimino-5,7,12,14,19-Pentaazaicosan-1-Yl)-7,8-Dihydrobleomycinamide
[CAS# 11031-15-5]

Suppliers
CAS#: 11031-15-5
Product: N1-(20-Amino-6,13,20-Triimino-5,7,12,14,19-Pentaazaicosan-1-Yl)-7,8-Dihydrobleomycinamide
No suppilers available for the product.
Identification
Name N1-(20-Amino-6,13,20-Triimino-5,7,12,14,19-Pentaazaicosan-1-Yl)-7,8-Dihydrobleomycinamide
Synonyms [2-[2-[2-[[6-Amino-2-[3-Amino-1-[(2,3-Diamino-3-Oxo-Propyl)Amino]-3-Oxo-Propyl]-5-Methyl-Pyrimidine-4-Carbonyl]Amino]-3-[[4-[[1-[2-[4-[4-[4-[[N'-[4-[(N'-(4-Guanidinobutyl)Carbamimidoyl)Amino]Butyl]Carbamimidoyl]Amino]Butylcarbamoyl]Thiazol-2-Yl]-4,5-Dihydrothiazol-2-Yl]Ethylcarbamoyl]-2-Hydroxy-Propyl]Amino]-2-Hydroxy-1,3-Dimethyl-4-Oxo-Butyl]Amino]-1-(3H-Imidazol-4-Yl)-3-Oxo-Propoxy]-4,5-Dihydroxy-6-(Hydroxymethyl)Tetrahydropyran-3-Yl]Oxy-3,5-Dihydroxy-6-(Hydroxymethyl)Tetrahydropyran-4-Yl] Carbamate; Carbamic Acid [2-[2-[2-[[6-Amino-2-[3-Amino-1-[(2,3-Diamino-3-Keto-Propyl)Amino]-3-Keto-Propyl]-5-Methyl-Pyrimidine-4-Carbonyl]Amino]-3-[[4-[[1-[2-[4-[4-[4-[[N'-[4-[(N'-(4-Guanidinobutyl)Carbamimidoyl)Amino]Butyl]Carbamimidoyl]Amino]Butylcarbamoyl]Thiazol-2-Yl]-4,5-Dihydrothiazol-2-Yl]Ethylcarbamoyl]-2-Hydroxy-Propyl]Amino]-2-Hydroxy-4-Keto-1,3-Dimethyl-Butyl]Amino]-1-(3H-Imidazol-4-Yl)-3-Keto-Propoxy]-4,5-Dihydroxy-6-Methylol-Tetrahydropyran-3-Yl]Oxy-3,5-Dihydroxy-6-Methylol-Tetrahydropyran-4-Yl] Ester; Phleomycin G
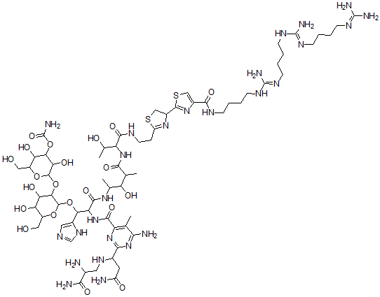
Molecular Structure CAS#: 11031-15-5, N1-(20-Amino-6,13,20-Triimino-5,7,12,14,19-Pentaazaicosan-1-Yl)-7,8-Dihydrobleomycinamide
Molecular Formula C65H108N26O21S2
Molecular Weight 1653.85
CAS Registry Number 11031-15-5
SMILES C1=C([NH]C=N1)C(OC2OC(C(O)C(O)C2OC3OC(C(O)C(OC(=O)N)C3O)CO)CO)C(NC(=O)C4=C(C(=NC(=N4)C(NCC(N)C(=O)N)CC(=O)N)N)C)C(=O)NC(C(O)C(C)C(=O)NC(C(O)C)C(=O)NCCC5=NC(CS5)C6=NC(=CS6)C(=O)NCCCCNC(=NCCCCNC(=NCCCCN=C(N)N)N)N)C
InChI 1S/C65H108N26O21S2/c1-27-40(88-53(91-51(27)68)32(19-38(67)95)83-20-31(66)52(69)101)57(105)90-42(48(33-21-75-26-84-33)110-61-50(46(99)44(97)36(22-92)109-61)111-60-47(100)49(112-65(74)107)45(98)37(23-93)108-60)58(106)85-29(3)43(96)28(2)54(102)89-41(30(4)94)56(104)77-18-11-39-86-35(25-113-39)59-87-34(24-114-59)55(103)76-12-5-7-14-79-63(72)81-16-9-10-17-82-64(73)80-15-8-6-13-78-62(70)71/h21,24,26,28-32,35-37,41-50,60-61,83,92-94,96-100H,5-20,22-23,25,66H2,1-4H3,(H2,67,95)(H2,69,101)(H2,74,107)(H,75,84)(H,76,103)(H,77,104)(H,85,106)(H,89,102)(H,90,105)(H2,68,88,91)(H4,70,71,78)(H3,72,79,81)(H3,73,80,82)
InChIKey JDNKEWBGOHYIEH-UHFFFAOYSA-N
Properties
Density 1.714g/cm3 (Cal.)
Market Analysis Reports
List of Reports Available for N1-(20-Amino-6,13,20-Triimino-5,7,12,14,19-Pentaazaicosan-1-Yl)-7,8-Dihydrobleomycinamide
Related Products
(7S,8R)-7-(Dipropylamino)-8-Methyl-5,6,7...  [(3S,10R,13S,17S)-17-Acetamido-10,13-Dim...  Rubradirin  Adozelesin  Sarkomycin  Senfolomycin B  Streptovaricin B  N,N'-Bis(3-Aminopropyl)But-2-Yne-1,4-Dia...  [(3S,5S,10S,13S,17S)-17-Acetamido-10,13-...  (5alpha)-17-(Cyclopropylmethyl)-4,5-Epox...  (5alpha)-17-(Cyclopropylmethyl)-4,5-Epox...  Tylosin hydrochloride  (7R,8R,9S,10R,13S,14S)-7-(4-Aminophenyl)...  [2,3-Dimethyl-6-(3,6,9-Trihydroxy-10,13-...  Glycyl-aspartyl-prolyl-phenylalanyl-leuc...