Online Database of Chemicals from Around the World

鼠李糖基-鼠李糖基-3-脱氧甘露辛柄糖酸
[CAS# 111070-81-6]

供应商
CAS#: 111070-81-6
产品: 鼠李糖基-鼠李糖基-3-脱氧甘露辛柄糖酸
暂时没有厂家供应该产品。
基本信息
产品名称 鼠李糖基-鼠李糖基-3-脱氧甘露辛柄糖酸
英文名 Rhamnosyl-rhamnosyl-3-deoxymannooctulosonic acid
别名 (4R,5R,6R,7R)-8-[(2R,3R,4R,5S,6S)-3,5-Dihydroxy-6-Methyl-4-[(2S,3R,4R,5R,6S)-3,4,5-Trihydroxy-6-Methyl-Tetrahydropyran-2-Yl]Oxy-Tetrahydropyran-2-Yl]Oxy-4,5,6,7-Tetrahydroxy-2-Oxo-Octanoic Acid; (4R,5R,6R,7R)-8-[[(2R,3R,4R,5S,6S)-3,5-Dihydroxy-6-Methyl-4-[[(2S,3R,4R,5R,6S)-3,4,5-Trihydroxy-6-Methyl-2-Tetrahydropyranyl]Oxy]-2-Tetrahydropyranyl]Oxy]-4,5,6,7-Tetrahydroxy-2-Oxooctanoic Acid; (4R,5R,6R,7R)-8-[(2R,3R,4R,5S,6S)-3,5-Dihydroxy-6-Methyl-4-[(2S,3R,4R,5R,6S)-3,4,5-Trihydroxy-6-Methyl-Tetrahydropyran-2-Yl]Oxy-Tetrahydropyran-2-Yl]Oxy-4,5,6,7-Tetrahydroxy-2-Keto-Caprylic Acid
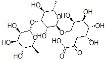
分子结构 CAS 登录号:111070-81-6, 鼠李糖基-鼠李糖基-3-脱氧甘露辛柄糖酸
分子式 C20H34O16
分子量 530.48
CAS 登录号 111070-81-6
分子行输入简码 SMILES [C@H]1(O[C@H]([C@@H]([C@@H]([C@H]1O)O[C@@H]2O[C@H]([C@@H]([C@H]([C@H]2O)O)O)C)O)OC[C@H]([C@H]([C@@H]([C@@H](CC(C(=O)O)=O)O)O)O)O)C
国际化学标识码 InChI 1S/C20H34O16/c1-5-10(24)14(28)15(29)20(35-5)36-17-11(25)6(2)34-19(16(17)30)33-4-9(23)13(27)12(26)7(21)3-8(22)18(31)32/h5-7,9-17,19-21,23-30H,3-4H2,1-2H3,(H,31,32)/t5-,6-,7+,9+,10-,11-,12+,13+,14+,15+,16+,17+,19+,20-/m0/s1
国际化学标识检索码 InChIKey HARGVJONLXPVEX-PILVOEBPSA-N
物理化学性质
密度 1.661g/cm3 (计算值)
沸点 901.024°C at 760 mmHg (计算值)
闪点 305.64°C (计算值)
市场分析报告
请浏览鼠李糖基-鼠李糖基-3-脱氧甘露辛柄糖酸市场分析报告总目录
相关产品
2,6-二氯-4-(4,5-二氢-1H-咪唑-2-...  东方菌素B  东方菌素A  5-羟基硫代磺酰基-N,N-二甲基萘-1-胺  2-甲氧基乙基十六烷酸酯  (Z)-N-(3-氨基丙基)十八碳-9-烯酰胺  N,1-二[[5-(二甲基氨基)-1-萘基]磺酰基...  N-(2-甲基壬烷-2-基)-3-吗啉-4-基丙酰...  [[2-[2-(苯甲酰基)-4-硝基苯基]-4-乙...  四(五氟苯基)铅  (8S,9S,11R,13S,14S)-3-环戊基...  (2'R,3'S,8'R)-3',4,5',6-四...  10-氯十七碳-1-烯-4,6-二炔-3,9-二醇  2-甲氧基乙基(Z)-十八碳-9-烯酸酯  4-[(3,4-二氯苯甲酰基)氨基]-5-(2-甲...