Online Database of Chemicals from Around the World

2-Hydroxyglutaryl-1-Coenzyme A
[CAS# 111769-66-5]

Suppliers
CAS#: 111769-66-5
Product: 2-Hydroxyglutaryl-1-Coenzyme A
No suppilers available for the product.
Identification
Name 2-Hydroxyglutaryl-1-Coenzyme A
Synonyms (4R)-5-[2-[3-[[(2R)-4-[[[(2R,3S,4R,5R)-5-(6-Aminopurin-9-Yl)-4-Hydroxy-3-Phosphonooxy-Tetrahydrofuran-2-Yl]Methoxy-Hydroxy-Phosphoryl]Oxy-Hydroxy-Phosphoryl]Oxy-2-Hydroxy-3,3-Dimethyl-Butanoyl]Amino]Propanoylamino]Ethylsulfanyl]-4-Hydroxy-5-Oxo-Pentanoic Acid; (4R)-5-[2-[[3-[[(2R)-4-[[[(2R,3S,4R,5R)-5-(6-Amino-9-Purinyl)-4-Hydroxy-3-Phosphonooxy-2-Tetrahydrofuranyl]Methoxy-Hydroxyphosphoryl]Oxy-Hydroxyphosphoryl]Oxy-2-Hydroxy-3,3-Dimethyl-1-Oxobutyl]Amino]-1-Oxopropyl]Amino]Ethylthio]-4-Hydroxy-5-Oxopentanoic Acid; (4R)-5-[2-[3-[[(2R)-4-[[[(2R,3S,4R,5R)-5-(6-Aminopurin-9-Yl)-4-Hydroxy-3-Phosphonooxy-Tetrahydrofuran-2-Yl]Methoxy-Hydroxy-Phosphoryl]Oxy-Hydroxy-Phosphoryl]Oxy-2-Hydroxy-3,3-Dimethyl-Butanoyl]Amino]Propanoylamino]Ethylthio]-4-Hydroxy-5-Keto-Valeric Acid
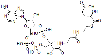
Molecular Structure CAS#: 111769-66-5, 2-Hydroxyglutaryl-1-Coenzyme A
Molecular Formula C26H42N7O20P3S
Molecular Weight 897.63
CAS Registry Number 111769-66-5
SMILES [C@H]1(O[C@@H]([C@@H](O[P](=O)(O)O)[C@H]1O)CO[P](O[P](OCC([C@@H](O)C(=O)NCCC(=O)NCCSC(=O)[C@H](O)CCC(=O)O)(C)C)(=O)O)(=O)O)[N]2C3=C(N=C2)C(=NC=N3)N
InChI 1S/C26H42N7O20P3S/c1-26(2,20(39)23(40)29-6-5-15(35)28-7-8-57-25(41)13(34)3-4-16(36)37)10-50-56(47,48)53-55(45,46)49-9-14-19(52-54(42,43)44)18(38)24(51-14)33-12-32-17-21(27)30-11-31-22(17)33/h11-14,18-20,24,34,38-39H,3-10H2,1-2H3,(H,28,35)(H,29,40)(H,36,37)(H,45,46)(H,47,48)(H2,27,30,31)(H2,42,43,44)/t13-,14-,18-,19-,20+,24-/m1/s1
InChIKey ITRSBJZNLOYNNR-WZZMXTMRSA-N
Properties
Density 1.927g/cm3 (Cal.)
Market Analysis Reports
List of Reports Available for 2-Hydroxyglutaryl-1-Coenzyme A
Related Products
N(4)-Adenosyl-N(4)-Methyl-2,4-Diaminobut...  N-Butyl-N-Methylformamide  3-Chlorooctane  Prinoxodan  1-((5-Bromo-2-Benzofuranyl)Phenylmethyl)...  Biotinylamidoethyl-3-(3-Iodo-4-Hydroxyph...  Biotinylamidoethyl-3-(3,5-diiodo-4-hydro...  3-[[3-[4-[2-(cyclopropylmethoxy)ethyl]ph...  4-Amino-1-(2-Azido-3-Hydroxy-4-(Hydroxym...  1-(2-Amino-3-Hydroxy-4-(Hydroxymethyl)Cy...  Diazoethane  (NE)-N-(2,2,2-Trichloroethylidene)Hydrox...  1-Methoxy-2,2-Dimethylpropane  Isocyanato-Trimethylsilane  Methyl 11,17,21-Trihydroxy-3,20-Dioxopre...