Online Database of Chemicals from Around the World

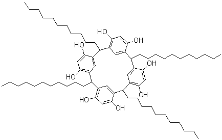
2,8,14,20-Tetraundecylpentacyclo[19.3.1.13,7.19,13.115,19]Octacosa-1(25),3(28),4,6,9(27),10,12,15(26),16,18,21,23-Dodecaene-4,6,10,12,16,18,22,24-Octol
[CAS# 112247-07-1]

Suppliers
Alfa Chemistry USA Inquire  
+1 (201) 478-8534
inquiry@alfa-chemistry.com
Chemical distributor since 2012
chemBlink standard supplier since 2012
CMS Chemicals Ltd. UK Inquire  
+44 (1635) 577-666
sales@cms-chemicals.com
Chemical manufacturer
International Laboratory Limited USA Inquire  
+1 (650) 278-9963
admin@intlab.org
Chemical manufacturer since 2002
Identification
Name 2,8,14,20-Tetraundecylpentacyclo[19.3.1.13,7.19,13.115,19]Octacosa-1(25),3(28),4,6,9(27),10,12,15(26),16,18,21,23-Dodecaene-4,6,10,12,16,18,22,24-Octol
Molecular Structure CAS#: 112247-07-1, 2,8,14,20-Tetraundecylpentacyclo[19.3.1.1<Sup>3,7</Sup>.1<Sup>9,13</Sup>.1<Sup>15,19</Sup>]Octacosa-1(25),3(28),4,6,9(27),10,12,15(26),16,18,21,23-Dodecaene-4,6,10,12,16,18,22,24-Octol
Molecular Formula C72H112O8
Molecular Weight 1105.65
CAS Registry Number 112247-07-1
SMILES CCCCCCCCCCCC1c2cc(c(cc2O)O)C(c3cc(c(cc3O)O)C(c4cc(c(cc4O)O)C(c5cc1c(cc5O)O)CCCCCCCCCCC)CCCCCCCCCCC)CCCCCCCCCCC
InChI 1S/C72H112O8/c1-5-9-13-17-21-25-29-33-37-41-53-57-45-59(67(75)49-65(57)73)54(42-38-34-30-26-22-18-14-10-6-2)61-47-63(71(79)51-69(61)77)56(44-40-36-32-28-24-20-16-12-8-4)64-48-62(70(78)52-72(64)80)55(60-46-58(53)66(74)50-68(60)76)43-39-35-31-27-23-19-15-11-7-3/h45-56,73-80H,5-44H2,1-4H3
InChIKey NLPGYPIHQCVVRO-UHFFFAOYSA-N
Properties
Density 1.039g/cm3 (Cal.)
Boiling point 1082.7°C at 760 mmHg (Cal.)
Flash point 326.977°C (Cal.)
Refractive index 1.544 (Cal.)
Safety Data
SDS Available
References
(1) Stirling Charles J. M.. Trimorphism in solid resorcinarenes, Chemical Communications, 2007
Market Analysis Reports
List of Reports Available for 2,8,14,20-Tetraundecylpentacyclo[19.3.1.13,7.19,13.115,19]Octacosa-1(25),3(28),4,6,9(27),10,12,15(26),16,18,21,23-Dodecaene-4,6,10,12,16,18,22,24-Octol
Related Products
5-(2-Oxohexahydro-1H-Thieno[3,4-d]Imidaz...  Sodium (Z)-1-({2-[({5-[(Dimethylamino)Me...  N'-(3-Methylphenyl)Propanehydrazide  (2R,5S)-2-Isopropyl-1-Azabicyclo[3.2.0]H...  2-Bromo-1-(4-Methyl-1-Piperazinyl)Ethano...  2-(Aminooxy)-1-(4-Methyl-1-Piperazinyl)E...  4-[(Aminooxy)Acetyl]-2-Piperazinone  2-Fluoro-1-(1-Naphthyl)Ethanone  3-(Trimethylsilyl)Isonicotinic Acid  Imidazo[1,2-a]Pyridine-5-Thiol  Imidazo[1,2-a]Pyrazine-5-Thiol  2,2,6-Trimethyl-2,3,4,5-Tetrahydropyridi...  5-Ethoxy-5H-Benzo[7]Annulene  2-[5-(Benzyloxy)-1H-Indol-3-Yl]Acetohydr...  (Carbamoylamino)(2-Nitrophenyl)Acetic Ac...