基本信息
| 产品名称 |
前列腺素A2异丙基酯 |
| 英文名 |
Prostaglandin A2 Isopropyl Ester |
| 别名 |
Isopropyl (Z)-7-[(1R,2S)-2-[(E,3S)-3-Hydroxyoct-1-Enyl]-5-Oxo-1-Cyclopent-3-Enyl]Hept-5-Enoate; (Z)-7-[(1R,2S)-2-[(E,3S)-3-Hydroxyoct-1-Enyl]-5-Oxo-1-Cyclopent-3-Enyl]Hept-5-Enoic Acid Isopropyl Ester; (Z)-7-[(1R,2S)-2-[(E,3S)-3-Hydroxyoct-1-Enyl]-5-Keto-1-Cyclopent-3-Enyl]Hept-5-Enoic Acid Isopropyl Ester |
|
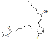
| 分子结构 |
 |
| 分子式 |
C23H36O4 |
| 分子量 |
376.54 |
| CAS 登录号 |
114084-85-4 |
| 分子行输入简码 SMILES |
[C@H]1([C@H](C=CC1=O)\C=C\[C@@H](O)CCCCC)C\C=C/CCCC(OC(C)C)=O |
| 国际化学标识码 InChI |
1S/C23H36O4/c1-4-5-8-11-20(24)16-14-19-15-17-22(25)21(19)12-9-6-7-10-13-23(26)27-18(2)3/h6,9,14-21,24H,4-5,7-8,10-13H2,1-3H3/b9-6-,16-14+/t19-,20-,21+/m0/s1 |
| 国际化学标识检索码 InChIKey |
MYNMJEGQTXQGKQ-RXMNKVFOSA-N |
|