Online Database of Chemicals from Around the World

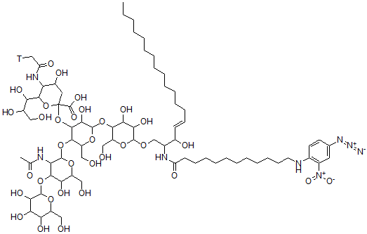
2-[5-[3-乙酰氨基-5-羟基-6-(羟基甲基)-4-[3,4,5-三羟基-6-(羟基甲基)四氢吡喃-2-基]氧基四氢吡喃-2-基]氧基-2-[6-[(E)-2-[12-[(4-叠氮基-2-硝基苯基)氨基]月桂酰氨基]-3-羟基十八碳-4-烯氧基]-4,5-二羟基-2-(羟基甲基)四氢吡喃-3-基]氧基-3-羟基-6-(羟基甲基)四氢吡喃-4-基]氧基-4-羟基-6-(1,2,3-三羟基丙基)-5-[(2-氚乙酰基)氨基]四氢吡喃-2-羧酸
[CAS# 116926-94-4]

供应商
CAS#: 116926-94-4
产品: 2-[5-[3-乙酰氨基-5-羟基-6-(羟基甲基)-4-[3,4,5-三羟基-6-(羟基甲基)四氢吡喃-2-基]氧基四氢吡喃-2-基]氧基-2-[6-[(E)-2-[12-[(4-叠氮基-2-硝基苯基)氨基]月桂酰氨基]-3-羟基十八碳-4-烯氧基]-4,5-二羟基-2-(羟基甲基)四氢吡喃-3-基]氧基-3-羟基-6-(羟基甲基)四氢吡喃-4-基]氧基-4-羟基-6-(1,2,3-三羟基丙基)-5-[(2-氚乙酰基)氨基]四氢吡喃-2-羧酸
暂时没有厂家供应该产品。
基本信息
产品名称 2-[5-[3-乙酰氨基-5-羟基-6-(羟基甲基)-4-[3,4,5-三羟基-6-(羟基甲基)四氢吡喃-2-基]氧基四氢吡喃-2-基]氧基-2-[6-[(E)-2-[12-[(4-叠氮基-2-硝基苯基)氨基]月桂酰氨基]-3-羟基十八碳-4-烯氧基]-4,5-二羟基-2-(羟基甲基)四氢吡喃-3-基]氧基-3-羟基-6-(羟基甲基)四氢吡喃-4-基]氧基-4-羟基-6-(1,2,3-三羟基丙基)-5-[(2-氚乙酰基)氨基]四氢吡喃-2-羧酸
英文名 2-[5-[3-Acetamido-5-Hydroxy-6-(Hydroxymethyl)-4-[3,4,5-Trihydroxy-6-(Hydroxymethyl)Oxan-2-Yl]Oxyoxan-2-Yl]Oxy-2-[6-[(E)-2-[12-[(4-Azido-2-Nitrophenyl)Amino]Dodecanoylamino]-3-Hydroxyoctadec-4-Enoxy]-4,5-Dihydroxy-2-(Hydroxymethyl)Oxan-3-Yl]Oxy-3-Hydroxy-6-(Hydroxymethyl)Oxan-4-Yl]Oxy-4-Hydroxy-6-(1,2,3-Trihydroxypropyl)-5-[(2-Tritioacetyl)Amino]Oxane-2-Carboxylic Acid
别名 2-[5-[3-Acetamido-5-Hydroxy-6-(Hydroxymethyl)-4-[3,4,5-Trihydroxy-6-(Hydroxymethyl)Tetrahydropyran-2-Yl]Oxy-Tetrahydropyran-2-Yl]Oxy-2-[6-[(E)-2-[12-[(4-Azido-2-Nitro-Phenyl)Amino]Dodecanoylamino]-3-Hydroxy-Octadec-4-Enoxy]-4,5-Dihydroxy-2-(Hydroxymethyl)Tetrahydropyran-3-Yl]Oxy-3-Hydroxy-6-(Hydroxymethyl)Tetrahydropyran-4-Yl]Oxy-4-Hydroxy-6-(1,2,3-Trihydroxypropyl)-5-[(2-Tritioacetyl)Amino]Tetrahydropyran-2-Carboxylic Acid; 2-[[5-[[3-Acetamido-5-Hydroxy-6-(Hydroxymethyl)-4-[[3,4,5-Trihydroxy-6-(Hydroxymethyl)-2-Tetrahydropyranyl]Oxy]-2-Tetrahydropyranyl]Oxy]-2-[[6-[(E)-2-[[12-[(4-Azido-2-Nitrophenyl)Amino]-1-Oxododecyl]Amino]-3-Hydroxyoctadec-4-Enoxy]-4,5-Dihydroxy-2-(Hydroxymethyl)-3-Tetrahydropyranyl]Oxy]-3-Hydroxy-6-(Hydroxymethyl)-4-Tetrahydropyranyl]Oxy]-4-Hydroxy-5-[(1-Oxo-2-Tritioethyl)Amino]-6-(1,2,3-Trihydroxypropyl)-2-Tetrahydropyrancarboxylic Acid; 2-[5-[3-Acetamido-5-Hydroxy-6-Methylol-4-(3,4,5-Trihydroxy-6-Methylol-Tetrahydropyran-2-Yl)Oxy-Tetrahydropyran-2-Yl]Oxy-2-[6-[(E)-2-[12-[(4-Azido-2-Nitro-Phenyl)Amino]Dodecanoylamino]-3-Hydroxy-Octadec-4-Enoxy]-4,5-Dihydroxy-2-Methylol-Tetrahydropyran-3-Yl]Oxy-3-Hydroxy-6-Methylol-Tetrahydropyran-4-Yl]Oxy-4-Hydroxy-6-(1,2,3-Trihydroxypropyl)-5-[(2-Tritioacetyl)Amino]Tetrahydropyran-2-Carboxylic Acid
分子结构 CAS 登录号:116926-94-4, 2-[5-[3-乙酰氨基-5-羟基-6-(羟基甲基)-4-[3,4,5-三羟基-6-(羟基甲基)四氢吡喃-2-基]氧基四氢吡喃-2-基]氧基-2-[6-[(E)-2-[12-[(4-叠氮基-2-硝基苯基)氨基]月桂酰氨基]-3-羟基十八碳-4-烯氧基]-4,5-二羟基-2-(羟基甲基)四氢吡喃-3-基]氧基-3-羟基-6-(羟基甲基)四氢吡喃-4-基]氧基-4-羟基-6-(1,2,3-三羟基丙基)-5-[(2-氚乙酰基)氨基]四氢吡喃-2-羧酸
分子式 C73H121TN8O33
分子量 1641.81
CAS 登录号 116926-94-4
分子行输入简码 SMILES [N+](=NC6=CC(=C(NCCCCCCCCCCCC(=O)NC(COC5OC(C(OC4OC(C(OC2OC(C(O)C(OC1OC(C(O)C(O)C1O)CO)C2NC(=O)C)CO)C(OC3(OC(C(NC(=O)C[3H])C(O)C3)C(O)C(O)CO)C(=O)O)C4O)CO)C(O)C5O)CO)C(O)\C=C\CCCCCCCCCCCCC)C=C6)[N+]([O-])=O)=[N-]
国际化学标识码 InChI 1S/C73H122N8O33/c1-4-5-6-7-8-9-10-11-12-14-17-20-23-26-45(89)43(78-52(92)27-24-21-18-15-13-16-19-22-25-30-75-42-29-28-41(79-80-74)31-44(42)81(103)104)38-105-69-61(99)59(97)63(50(36-85)108-69)110-71-62(100)67(114-73(72(101)102)32-46(90)53(76-39(2)87)66(113-73)55(93)47(91)33-82)64(51(37-86)109-71)111-68-54(77-40(3)88)65(57(95)49(35-84)106-68)112-70-60(98)58(96)56(94)48(34-83)107-70/h23,26,28-29,31,43,45-51,53-71,75,82-86,89-91,93-100H,4-22,24-25,27,30,32-38H2,1-3H3,(H,76,87)(H,77,88)(H,78,92)(H,101,102)/b26-23+/i2T
国际化学标识检索码 InChIKey PCZAVKSTJLZSAQ-PVZBSJBISA-N
市场分析报告
请浏览2-[5-[3-乙酰氨基-5-羟基-6-(羟基甲基)-4-[3,4,5-三羟基-6-(羟基甲基)四氢吡喃-2-基]氧基四氢吡喃-2-基]氧基-2-[6-[(E)-2-[12-[(4-叠氮基-2-硝基苯基)氨基]月桂酰氨基]-3-羟基十八碳-4-烯氧基]-4,5-二羟基-2-(羟基甲基)四氢吡喃-3-基]氧基-3-羟基-6-(羟基甲基)四氢吡喃-4-基]氧基-4-羟基-6-(1,2,3-三羟基丙基)-5-[(2-氚乙酰基)氨基]四氢吡喃-2-羧酸市场分析报告总目录
相关产品
2-(4-氯苯基)-5-羟基-2-(1,2,4-三...  6-哌啶-1-基-1H-喹啉-2-酮盐酸盐  3-[4-[(1Z,3Z)-4-(4-二乙基氨基苯...  [(2R,3R)-3-(苯基甲基)环氧乙烷-2-基...  8-甲氧基-6-硝基萘并[2,1-g][1,3]苯...  (6E)-4-氨基-3-[4-[[4-[(2Z)-...  N,N'-二[2-[2-[4-(4-氨基-5-羟基...  10-(3-二甲基氨基-4,6-二羟基-3,6-二...  10-(4-二甲基氨基-5,6-二羟基-4,6-二...  [3-羟基-1-(9-甲氧基-7-氧代呋喃并[3,...  3-(4-氯苯基)-1-[(2-吲哚并[2,3-b...  O1-环己基O2-(2-乙基己基)苯-1,2-二羧...  2-[4-[(3,4-二氯苯基)氨基甲酰氨基]苯氧...  (2R)-2-[[(2S)-2-甲酰氨基-4-甲硫...  (1R,2R,4S)-4-[(2R,4S,5S,6...