Online Database of Chemicals from Around the World

Aminotris(Methylenephosphonato)Diamminoplatinum (II)
[CAS# 117288-90-1]

Suppliers
CAS#: 117288-90-1
Product: Aminotris(Methylenephosphonato)Diamminoplatinum (II)
No suppilers available for the product.
Identification
Name Aminotris(Methylenephosphonato)Diamminoplatinum (II)
Synonyms Ammonia; (Phosphonatomethyl-(Phosphonomethyl)Amino)Methylphosphonic Acid; Platinum(+2) Cation; Amdp; Atmpdp
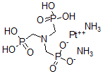
Molecular Structure CAS#: 117288-90-1, Aminotris(Methylenephosphonato)Diamminoplatinum (II)
Molecular Formula C3H16N3O9P3Pt
Molecular Weight 526.19
CAS Registry Number 117288-90-1
SMILES [Pt++].N.C([P](O)(O)=O)N(C[P](O)(O)=O)C[P]([O-])([O-])=O.N
InChI 1S/C3H12NO9P3.2H3N.Pt/c5-14(6,7)1-4(2-15(8,9)10)3-16(11,12)13;;;/h1-3H2,(H2,5,6,7)(H2,8,9,10)(H2,11,12,13);2*1H3;/q;;;+2/p-2
InChIKey DCCMANRPEHXGDK-UHFFFAOYSA-L
Properties
Boiling point 746.2°C at 760 mmHg (Cal.)
Flash point 405.1°C (Cal.)
Market Analysis Reports
List of Reports Available for Aminotris(Methylenephosphonato)Diamminoplatinum (II)
Related Products
3-(4-Fluorophenyl)-3-[(2,2,2-Trifluoroac...  3-(4-Chlorophenyl)-3-[(2,2,2-Trifluoroac...  2-Methyl-4-Carboxy-3,4,5,6-Tetrahydropyr...  2-Piperidin-1-Ylethyl 2-Phenyl-2-Piperid...  1,3-Trimethylene-2',5-Epoxyandrostane-3,...  2,3,4,6-Tetra-O-Benzylgalactopyranosyl P...  2-Dimethylaminomethylcyclohexyl Benzoate  2-[4-Chloro(Phenylsulfonyl)Anilino]Aceti...  2-([(4-Methoxyphenyl)Sulfonyl]Amino)-2-P...  2-([(4-Chlorophenyl)Sulfonyl]Amino)-2-Ph...  [2-[(3S,8S,9S,10R,13S,14S,16R,17S)-3-Hyd...  (1S)-3-[(Z)-2-[(1R,3aR,7aR)-7a-Methyl-1-...  [2-(9-Hydroxy-9-oxo-nonanoyl)oxy-3-octad...  4-[(3S,5S,7S,10S,13R,14S,17R)-3,7,14-Tri...  1-N-(3-Amino-2-Hydroxybutanoyl)-2',3'-Di...