Online Database of Chemicals from Around the World

红霉素A肟11,12-碳酸酯
[CAS# 118740-63-9]

供应商
CAS#: 118740-63-9
产品: 红霉素A肟11,12-碳酸酯
暂时没有厂家供应该产品。
基本信息
产品名称 红霉素A肟11,12-碳酸酯
英文名 Erythromycin A Oxime 11,12-Carbonate
别名 (12Z)-8-(4-Dimethylamino-3-Hydroxy-6-Methyl-Tetrahydropyran-2-Yl)Oxy-2-Ethyl-9-Hydroxy-12-Hydroxyimino-6-(5-Hydroxy-4-Methoxy-4,6-Dimethyl-Tetrahydropyran-2-Yl)Oxy-1,5,7,9,11,13-Hexamethyl-3,15,17-Trioxabicyclo[12.3.0]Heptadecane-4,16-Dione; (12Z)-8-[(4-Dimethylamino-3-Hydroxy-6-Methyl-2-Tetrahydropyranyl)Oxy]-2-Ethyl-9-Hydroxy-12-Hydroxyimino-6-[(5-Hydroxy-4-Methoxy-4,6-Dimethyl-2-Tetrahydropyranyl)Oxy]-1,5,7,9,11,13-Hexamethyl-3,15,17-Trioxabicyclo[12.3.0]Heptadecane-4,16-Dione; (12Z)-8-(4-Dimethylamino-3-Hydroxy-6-Methyl-Tetrahydropyran-2-Yl)Oxy-2-Ethyl-12-Hydroximino-9-Hydroxy-6-(5-Hydroxy-4-Methoxy-4,6-Dimethyl-Tetrahydropyran-2-Yl)Oxy-1,5,7,9,11,13-Hexamethyl-3,15,17-Trioxabicyclo[12.3.0]Heptadecane-4,16-Quinone
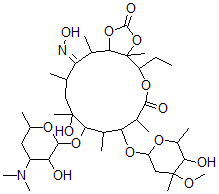
分子结构 CAS 登录号:118740-63-9, 红霉素A肟11,12-碳酸酯
分子式 C38H66N2O14
分子量 774.94
CAS 登录号 118740-63-9
分子行输入简码 SMILES C(C3OC(=O)C(C(OC1OC(C(O)C(OC)(C1)C)C)C(C(OC2OC(CC(N(C)C)C2O)C)C(O)(CC(C(=N/O)/C(C4OC(OC34C)=O)C)C)C)C)C)C
国际化学标识码 InChI 1S/C38H66N2O14/c1-14-25-38(10)32(53-35(44)54-38)20(4)27(39-46)18(2)16-36(8,45)31(52-34-28(41)24(40(11)12)15-19(3)48-34)21(5)29(22(6)33(43)50-25)51-26-17-37(9,47-13)30(42)23(7)49-26/h18-26,28-32,34,41-42,45-46H,14-17H2,1-13H3/b39-27-
国际化学标识检索码 InChIKey RTCGTLWKKGKPPE-NOACJBATSA-N
市场分析报告
请浏览红霉素A肟11,12-碳酸酯市场分析报告总目录
相关产品
3'-C-亚甲基-2',3'-二脱氧-5-甲基尿苷  N-甲酰基-N-羟基-反式-4-氨基二苯乙烯  6-亚硝基苯并(a)芘  2-溴-2-氰基乙酸乙酯  2-氯褪黑素  1-氯-4-[3-[[2-(4-乙氧基苯基)-3,...  2,6-二氯-4-(三氟甲氧基)苯甲醛  L-硒代蛋氨酸  N-甲基-N-[(4-甲基苯基)(苯基)甲基]胺  3,4,5,6-四氧代环己烯-1,2-二醇二钠  四硝基四-mu3-硫代四高  纳布啡3-乙酰基水杨酸酯  (2S)-2-氨基-3-氨基氧基丙酸  5-氨基-1,3-二嗪农-2,4,6-三酮  5-甲基-3-亚甲基己烷-2-酮