Online Database of Chemicals from Around the World

4-甲酚基钴胺酰胺
[CAS# 119637-75-1]

供应商
CAS#: 119637-75-1
产品: 4-甲酚基钴胺酰胺
暂时没有厂家供应该产品。
基本信息
产品名称 4-甲酚基钴胺酰胺
英文名 4-Cresolylcobamide
别名 Cobinamide, Dicyanide, Dihydrogen Phosphate (Ester), Inner Salt, 3-Ester With 4-Methylphenyl Alpha-D-Ribofuranoside, Ion(1-); P-Cscb
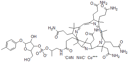
分子结构 CAS 登录号:119637-75-1, 4-甲酚基钴胺酰胺
分子式 C62H86CoN13O15P
分子量 1343.35
CAS 登录号 119637-75-1
分子行输入简码 SMILES [Co+3].N1=C2C(C(C1C5[N-]C(=C(C4=NC(=CC3=NC(=C2C)C(C3(C)C)CCC(=O)N)C(C4(CCC(=O)N)C)CCC(=O)N)C)C(C5(CC(=O)N)C)CCC(=O)N)CC(=O)N)(CCC(=O)NCC(O[P](OC6C(O)C(OC6CO)OC7=CC=C(C=C7)C)([O-])=O)C)C.N#[C-].[C-]#N
国际化学标识码 InChI 1S/C60H88N11O15P.2CN.Co/c1-29-10-12-33(13-11-29)83-56-51(80)52(39(28-72)84-56)86-87(81,82)85-30(2)27-67-47(79)21-23-59(8)37(24-45(65)77)50-55-60(9,26-46(66)78)36(16-19-43(63)75)49(70-55)32(4)53-58(7,22-20-44(64)76)34(14-17-41(61)73)38(68-53)25-40-57(5,6)35(15-18-42(62)74)48(69-40)31(3)54(59)71-50;2*1-2;/h10-13,25,30,34-37,39,50-52,55-56,72,80H,14-24,26-28H2,1-9H3,(H15,61,62,63,64,65,66,67,68,69,70,71,73,74,75,76,77,78,79,81,82);;;/q;2*-1;+3/p-2
国际化学标识检索码 InChIKey ZFWXJHJHLMIQPY-UHFFFAOYSA-L
市场分析报告
请浏览4-甲酚基钴胺酰胺市场分析报告总目录
相关产品
顺铂-脱氧(腺苷单磷酸酯鸟苷)加合物  5-(氮丙啶-1-基)-4-羟基氨基-2-硝基苯甲...  Alterporriol D  5-(N-丙基-N-丁基)-2',4'-二氯氨苯蝶...  4,4a,5,6,7,8-六氢-3H-萘-2-酮  异丙基羟基棕榈基醚  戊烷-3-基苯  甲基2-(N-苄基-N-甲基氨基)乙基-2,6-二...  (E)-3-苯基丁-2-烯醛  Z-亮氨酰-缬氨酰-甘氨酰-重氮基甲基甲酮  (2-羟基苯基)脲  2,5-二甲基-1-O-甲苯基-1H-吡咯-3-甲...  1-(2-氯苯基)-2,5-二甲基-1H-吡咯-3...  Nobotanin K  伊加地平