Online Database of Chemicals from Around the World

叔丁基氧羰基-酪氨酰-氨基己酰-甘氨酰-色氨酰-氨基己酰-天冬氨酰苯基乙基酯
[CAS# 119733-42-5]

供应商
CAS#: 119733-42-5
产品: 叔丁基氧羰基-酪氨酰-氨基己酰-甘氨酰-色氨酰-氨基己酰-天冬氨酰苯基乙基酯
暂时没有厂家供应该产品。
基本信息
产品名称 叔丁基氧羰基-酪氨酰-氨基己酰-甘氨酰-色氨酰-氨基己酰-天冬氨酰苯基乙基酯
英文名 tert-Butyloxycarbonyl-tyrosyl-aminohexanoyl-glycyl-tryptophyl-aminohexanoyl-aspartyl phenylethyl ester
别名 (3S)-3-[6-[[(2S)-2-[[2-[6-[[(2S)-2-(Tert-Butoxycarbonylamino)-3-(4-Sulfooxyphenyl)Propanoyl]Amino]Hexanoylamino]Acetyl]Amino]-3-(1H-Indol-3-Yl)Propanoyl]Amino]Hexanoylamino]-4-[[(1S)-3-Hydroxy-3-Oxo-1-(2-Phenylethoxycarbonyl)Propyl]Amino]-4-Oxo-Butanoic Acid; (3S)-3-[[6-[[(2S)-2-[[2-[[6-[[(2S)-2-[(Tert-Butoxy-Oxomethyl)Amino]-1-Oxo-3-(4-Sulfooxyphenyl)Propyl]Amino]-1-Oxohexyl]Amino]-1-Oxoethyl]Amino]-3-(1H-Indol-3-Yl)-1-Oxopropyl]Amino]-1-Oxohexyl]Amino]-4-[[(1S)-3-Hydroxy-3-Oxo-1-[Oxo-(2-Phenylethoxy)Methyl]Propyl]Amino]-4-Oxobutanoic Acid; (3S)-3-[6-[[(2S)-2-[[2-[6-[[(2S)-2-(Tert-Butoxycarbonylamino)-3-(4-Sulfoxyphenyl)Propanoyl]Amino]Hexanoylamino]Acetyl]Amino]-3-(1H-Indol-3-Yl)Propanoyl]Amino]Hexanoylamino]-4-[[(1S)-3-Hydroxy-3-Keto-1-(2-Phenylethoxycarbonyl)Propyl]Amino]-4-Keto-Butyric Acid
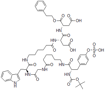
分子结构 CAS 登录号:119733-42-5, 叔丁基氧羰基-酪氨酰-氨基己酰-甘氨酰-色氨酰-氨基己酰-天冬氨酰苯基乙基酯
分子式 C55H72N8O18S
分子量 1165.28
CAS 登录号 119733-42-5
分子行输入简码 SMILES [C@H](NC(=O)CNC(=O)CCCCCNC(=O)[C@@H](NC(OC(C)(C)C)=O)CC1=CC=C(O[S](=O)(=O)O)C=C1)(CC2=C[NH]C3=CC=CC=C23)C(=O)NCCCCCC(=O)N[C@H](C(=O)N[C@H](C(OCCC4=CC=CC=C4)=O)CC(=O)O)CC(=O)O
国际化学标识码 InChI 1S/C55H72N8O18S/c1-55(2,3)80-54(75)63-41(29-36-21-23-38(24-22-36)81-82(76,77)78)50(71)56-26-13-5-9-19-45(64)59-34-47(66)61-42(30-37-33-58-40-18-12-11-17-39(37)40)51(72)57-27-14-6-10-20-46(65)60-43(31-48(67)68)52(73)62-44(32-49(69)70)53(74)79-28-25-35-15-7-4-8-16-35/h4,7-8,11-12,15-18,21-24,33,41-44,58H,5-6,9-10,13-14,19-20,25-32,34H2,1-3H3,(H,56,71)(H,57,72)(H,59,64)(H,60,65)(H,61,66)(H,62,73)(H,63,75)(H,67,68)(H,69,70)(H,76,77,78)/t41-,42-,43-,44-/m0/s1
国际化学标识检索码 InChIKey PFMXXIJBGKRAJY-ITMZJIMRSA-N
物理化学性质
密度 1.341g/cm3 (计算值)
市场分析报告
请浏览叔丁基氧羰基-酪氨酰-氨基己酰-甘氨酰-色氨酰-氨基己酰-天冬氨酰苯基乙基酯市场分析报告总目录
相关产品
6-[[(1S,4S)-4-(3,4-二氯苯基)-...  (Z)-2-甲基-3-苯基丙-2-烯腈  3,5-二乙基苯酚  (4R,6E)-6-[(3S,4S)-3-溴-4-...  (4R,6E)-6-[(3S,4S)-4-溴-3-...  N,N-二丁基-4-[(1E,3E)-4-[1-(...  2-(呋喃-2-基甲基)呋喃  罗克吲哚甲磺酸盐  2-[(E)-2-(4-氨基-2-磺基苯基)乙烯基...  2-氯-N-[[(2S)-2,3-二氢-1,4-苯...  N-(苯基甲基)丙-2-炔-1-胺  2H-[1,2]噻唑并[5,4-b]吲哚  (2-甲氧基-3,5,6-三甲基四氢吡喃-4-基)...  (4-氯苯基)-二硫代氨基甲酸单铵盐  3-O-(吡喃半乳糖基-(1,2)-吡喃半乳糖基)...