基本信息
| 产品名称 |
有色霉素A3 |
| 英文名 |
chrommycin A3 |
| 别名 |
[6-[6-[6-[[6-(4-Acetoxy-5-Hydroxy-6-Methyl-Tetrahydropyran-2-Yl)Oxy-3-(3,4-Dihydroxy-1-Methoxy-2-Oxo-Pentyl)-8,9-Dihydroxy-7-Methyl-1-Oxo-3,4-Dihydro-2H-Anthracen-2-Yl]Oxy]-3-Hydroxy-2-Methyl-Tetrahydropyran-4-Yl]Oxy-3-Hydroxy-2-Methyl-Tetrahydropyran-4-Yl]Oxy-4-Hydroxy-2,4-Dimethyl-Tetrahydropyran-3-Yl] Acetate; Acetic Acid [6-[[6-[[6-[[6-[(4-Acetoxy-5-Hydroxy-6-Methyl-2-Tetrahydropyranyl)Oxy]-3-(3,4-Dihydroxy-1-Methoxy-2-Oxopentyl)-8,9-Dihydroxy-7-Methyl-1-Oxo-3,4-Dihydro-2H-Anthracen-2-Yl]Oxy]-3-Hydroxy-2-Methyl-4-Tetrahydropyranyl]Oxy]-3-Hydroxy-2-Methyl-4-Tetrahydropyranyl]Oxy]-4-Hydroxy-2,4-Dimethyl-3-Tetrahydropyranyl] Ester; Acetic Acid [6-[6-[6-[[6-(4-Acetoxy-5-Hydroxy-6-Methyl-Tetrahydropyran-2-Yl)Oxy-3-(3,4-Dihydroxy-2-Keto-1-Methoxy-Pentyl)-8,9-Dihydroxy-1-Keto-7-Methyl-3,4-Dihydro-2H-Anthracen-2-Yl]Oxy]-3-Hydroxy-2-Methyl-Tetrahydropyran-4-Yl]Oxy-3-Hydroxy-2-Methyl-Tetrahydropyran-4-Yl]Oxy-4-Hydroxy-2,4-Dimethyl-Tetrahydropyran-3-Yl] Ester |
|
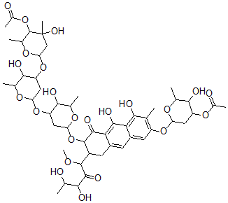
| 分子结构 |
 |
| 分子式 |
C50H70O23 |
| 分子量 |
1039.09 |
| CAS 登录号 |
120381-88-6 |
| 分子行输入简码 SMILES |
C2=C7C(=C(O)C3=C(O)C(=C(OC1OC(C(O)C(OC(=O)C)C1)C)C=C23)C)C(=O)C(OC6OC(C(O)C(OC5OC(C(O)C(OC4OC(C(OC(=O)C)C(O)(C4)C)C)C5)C)C6)C)C(C7)C(OC)C(=O)C(O)C(O)C |
| 国际化学标识码 InChI |
1S/C50H70O23/c1-18-29(70-33-14-30(68-24(7)52)41(56)20(3)64-33)13-27-11-26-12-28(47(63-10)46(61)40(55)19(2)51)48(45(60)38(26)44(59)37(27)39(18)54)73-35-16-31(42(57)22(5)66-35)71-34-15-32(43(58)21(4)65-34)72-36-17-50(9,62)49(23(6)67-36)69-25(8)53/h11,13,19-23,28,30-36,40-43,47-49,51,54-59,62H,12,14-17H2,1-10H3 |
| 国际化学标识检索码 InChIKey |
HUKOAMMQHCNVFM-UHFFFAOYSA-N |
|