Online Database of Chemicals from Around the World

肽P(1-24)
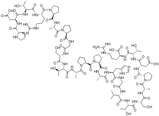
[CAS# 121501-21-1]

供应商
CAS#: 121501-21-1
产品: 肽P(1-24)
暂时没有厂家供应该产品。
基本信息
产品名称 肽P(1-24)
英文名 Peptide P(1-24)
别名 P(1-24) Peptide; L-Arginine, L-Prolyl-L-Alpha-Aspartyl-L-Threonyl-L-Arginyl-L-Prolyl-L-Alanyl-L-Prolylglycyl-L-Seryl-L-Threonyl-L-Alanyl-L-Prolyl-L-Prolyl-L-Alanyl-L-Histidylglycyl-L-Valyl-L-Threonyl-L-Seryl-L-Alanyl-L-Prolyl-L-Alpha-Aspartyl-L-Threonyl-
分子结构 CAS 登录号:121501-21-1, 肽P(1-24)
分子式 C99H158N32O35
分子量 2356.53
CAS 登录号 121501-21-1
分子行输入简码 SMILES [C@@H]1(NCCC1)C(=O)N[C@H](C(=O)N[C@H](C(=O)N[C@H](C(=O)N7[C@H](C(=O)N[C@@H](C)C(=O)N6[C@H](C(=O)NCC(=O)N[C@H](C(=O)N[C@H](C(=O)N[C@@H](C)C(=O)N5[C@H](C(=O)N4[C@H](C(=O)N[C@@H](C)C(=O)N[C@H](C(=O)NCC(=O)N[C@H](C(=O)N[C@H](C(=O)N[C@H](C(=O)N[C@@H](C)C(=O)N2[C@H](C(=O)N[C@H](C(=O)N[C@H](C(=O)N[C@H](C(=O)O)CCCNC(N)=N)[C@H](O)C)CC(=O)O)CCC2)CO)[C@H](O)C)C(C)C)CC3=CN=C[NH]3)CCC4)CCC5)[C@H](O)C)CO)CCC6)CCC7)CCCNC(N)=N)[C@H](O)C)CC(=O)O
国际化学标识码 InChI 1S/C99H158N32O35/c1-44(2)71(87(155)126-75(52(10)137)91(159)121-61(42-133)81(149)112-46(4)92(160)128-31-15-25-65(128)86(154)120-59(37-70(142)143)80(148)124-74(51(9)136)90(158)117-56(97(165)166)21-13-29-107-99(102)103)122-68(139)40-108-77(145)57(35-53-38-104-43-110-53)118-76(144)45(3)111-84(152)64-24-17-33-130(64)96(164)66-26-18-34-131(66)94(162)48(6)114-88(156)72(49(7)134)125-82(150)60(41-132)115-67(138)39-109-83(151)62-22-14-30-127(62)93(161)47(5)113-85(153)63-23-16-32-129(63)95(163)55(20-12-28-106-98(100)101)116-89(157)73(50(8)135)123-79(147)58(36-69(140)141)119-78(146)54-19-11-27-105-54/h38,43-52,54-66,71-75,105,132-137H,11-37,39-42H2,1-10H3,(H,104,110)(H,108,145)(H,109,151)(H,111,152)(H,112,149)(H,113,153)(H,114,156)(H,115,138)(H,116,157)(H,117,158)(H,118,144)(H,119,146)(H,120,154)(H,121,159)(H,122,139)(H,123,147)(H,124,148)(H,125,150)(H,126,155)(H,140,141)(H,142,143)(H,165,166)(H4,100,101,106)(H4,102,103,107)/t45-,46-,47-,48-,49+,50+,51+,52+,54-,55-,56-,57-,58-,59-,60-,61-,62-,63-,64-,65-,66-,71-,72-,73-,74-,75-/m0/s1
国际化学标识检索码 InChIKey UETRCLBXYZOEJN-IUDVYDBBSA-N
市场分析报告
请浏览肽P(1-24)市场分析报告总目录
相关产品
(1-硝基-2-苯乙烯基)苯  4-(4-氨基苯氧基)苯胺  (2S)-2-(3-氯喹喔啉-2-基)-2-苯磺酰...  (2R)-2-(3-氯喹喔啉-2-基)-2-(4-...  2-[2-苄基-4-(2,4,6-三甲基苯基)哌嗪...  4-氯-N-(2,4,6-三甲基苯基)丁酰胺  5-(二丙基氨基)-5,6-二氢-4H-萘嵌苯-2...  2-[(5-羟基-1H-吲哚-3-基)甲基]-1,...  [(3S,5S,8R,9S,10S,13S,14S...  (6E)-6-(1H-苯并咪唑-2-基亚肼基)-2...  N-(N-(N-(N-(N-(1-乙酰基-L-脯氨...  1-去-L-天冬氨酸-2-去-L-精氨酸-3-去-...  [1-(2-乙基氨基乙氧基-羟基磷酰)氧基-3-[...  [4-[(E)-1-吡啶-2-基-3-吡咯烷-1-...  L-精氨酸与5-甲氧基-3-(1-甲基乙氧基)-1...