Online Database of Chemicals from Around the World

Trichokonin VIII
[CAS# 121689-08-5]

供应商
CAS#: 121689-08-5
产品: Trichokonin VIII
暂时没有厂家供应该产品。
基本信息
产品名称 Trichokonin VIII
英文名 Trichokonin VIII
别名 Trichosporin B Ivc
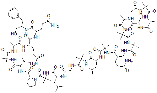
分子结构 CAS 登录号:121689-08-5, Trichokonin VIII
分子式 C91H151N23O24
分子量 1951.33
CAS 登录号 121689-08-5
分子行输入简码 SMILES C1=C(C=CC=C1)CC(CO)NC(C(CCC(N)=O)NC(C(NC(C(NC(C(NC(C(NC(C2N(C(C(NC(=O)C(NC(CNC(C(NC(C(NC(C(NC(C(CNC(C(NC(C(NC(C(NC(C(NC(C(NC(=O)C(C)(NC(C)=O)C)C)=O)C)=O)C)=O)(C)C)=O)(C)C)=O)CCC(N)=O)=O)(C)C)=O)CC(C)C)=O)(C)C)=O)=O)CC(C)C)(C)C)=O)CCC2)=O)C(C)C)=O)(C)C)=O)C)=O)CCC(N)=O)=O)=O
国际化学标识码 InChI 1S/C91H151N23O24/c1-46(2)40-59(74(128)111-91(24,25)84(138)114-39-29-32-61(114)76(130)106-66(48(5)6)77(131)112-88(18,19)81(135)100-51(9)69(123)103-58(35-38-64(94)119)73(127)104-57(34-37-63(93)118)72(126)101-56(45-115)42-54-30-27-26-28-31-54)102-65(120)44-96-78(132)85(12,13)110-75(129)60(41-47(3)4)105-82(136)89(20,21)109-71(125)55(33-36-62(92)117)43-95-79(133)86(14,15)113-83(137)90(22,23)108-70(124)52(10)98-67(121)49(7)97-68(122)50(8)99-80(134)87(16,17)107-53(11)116/h26-28,30-31,46-52,55-61,66,115H,29,32-45H2,1-25H3,(H2,92,117)(H2,93,118)(H2,94,119)(H,95,133)(H,96,132)(H,97,122)(H,98,121)(H,99,134)(H,100,135)(H,101,126)(H,102,120)(H,103,123)(H,104,127)(H,105,136)(H,106,130)(H,107,116)(H,108,124)(H,109,125)(H,110,129)(H,111,128)(H,112,131)(H,113,137)
国际化学标识检索码 InChIKey WARZAORRKPDZQR-UHFFFAOYSA-N
市场分析报告
请浏览Trichokonin VIII市场分析报告总目录
相关产品
N-[1-[1-(2-氨基-2-氧代乙基)四唑-5...  2-[13-[[4-[(2-溴乙酰基)氨基]苯基]...  2-[(8S,9S,10S,11S,13S,14S...  苯基次磷酸  (Z)-6-[(1R,4S,5R,6R)-6-[[...  (3R,4R)-3-[(2R)-1-甲基吡咯烷-2...  (3S,4S)-3-[(2R)-1-甲基吡咯烷-2...  (3R,4S)-3-[(2R)-1-甲基吡咯烷-2...  1-(3,4-二羟基苯基)-2-(3-甲基咪唑-3...  2-(1,1,2,3,3-五甲基-2H-茚-5-基...  (8S,9S,13S,14S)-13-甲基-6,7...  二-mu-羰基二(eta5-2,4-环戊二烯-1-...  3-O-(beta-D-呋喃芹糖基(1-2)-be...  2-[[2-[2-[2-(二(羧甲基)氨基)-5-...  1-[2-[(3-氯苯基)甲氧基]苯基]-2-羟基...