基本信息
| 产品名称 |
26-脱氧莫能星A |
| 英文名 |
26-Deoxymonensin A |
| 别名 |
4-[2-[5-Ethyl-5-[5-(6-Hydroxy-3,5,6-Trimethyl-Tetrahydropyran-2-Yl)-3-Methyl-Tetrahydrofuran-2-Yl]Tetrahydrofuran-2-Yl]-9-Hydroxy-2,8-Dimethyl-1,6-Dioxaspiro[4.5]Decan-7-Yl]-3-Methoxy-2-Methyl-Pentanoic Acid; 4-[2-[5-Ethyl-5-[5-(6-Hydroxy-3,5,6-Trimethyl-2-Tetrahydropyranyl)-3-Methyl-2-Tetrahydrofuranyl]-2-Tetrahydrofuranyl]-9-Hydroxy-2,8-Dimethyl-1,6-Dioxaspiro[4.5]Decan-7-Yl]-3-Methoxy-2-Methylpentanoic Acid; 4-[2-[5-Ethyl-5-[5-(6-Hydroxy-3,5,6-Trimethyl-Tetrahydropyran-2-Yl)-3-Methyl-Tetrahydrofuran-2-Yl]Tetrahydrofuran-2-Yl]-9-Hydroxy-2,8-Dimethyl-1,6-Dioxaspiro[4.5]Decan-7-Yl]-3-Methoxy-2-Methyl-Valeric Acid |
|
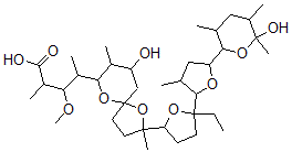
| 分子结构 |
 |
| 分子式 |
C36H62O10 |
| 分子量 |
654.88 |
| CAS 登录号 |
122576-59-4 |
| 分子行输入简码 SMILES |
C(C1(CCC(O1)C2(CCC3(O2)OC(C(C(C3)O)C)C(C(C(C(O)=O)C)OC)C)C)C5C(CC(C4C(CC(C(O4)(C)O)C)C)O5)C)C |
| 国际化学标识码 InChI |
1S/C36H62O10/c1-11-35(31-20(3)17-26(42-31)28-19(2)16-21(4)34(9,40)44-28)13-12-27(43-35)33(8)14-15-36(46-33)18-25(37)22(5)30(45-36)23(6)29(41-10)24(7)32(38)39/h19-31,37,40H,11-18H2,1-10H3,(H,38,39) |
| 国际化学标识检索码 InChIKey |
GORGDRGXUKJXOM-UHFFFAOYSA-N |
|