Online Database of Chemicals from Around the World

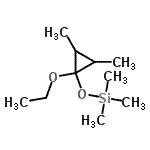
[(1-Ethoxy-2,3-Dimethylcyclopropyl)Oxy](Trimethyl)Silane
[CAS# 123169-69-7]

Suppliers
Atomax Chemicals Co., Ltd. China Inquire  
+86 13417589054//+86 13424336463
info@atomaxchem.com,atomax.chemicals@gmail.com,
QQ Chat
Chemical manufacturer
Identification
Name [(1-Ethoxy-2,3-Dimethylcyclopropyl)Oxy](Trimethyl)Silane
Synonyms (1-ethoxy-2,3-dimethylcyclopropoxy)trimethylsilane
Molecular Structure CAS#: 123169-69-7, [(1-Ethoxy-2,3-Dimethylcyclopropyl)Oxy](Trimethyl)Silane
Molecular Formula C10H22O2Si
Molecular Weight 202.37
CAS Registry Number 123169-69-7
SMILES CCOC1(C(C1C)C)O[Si](C)(C)C
InChI 1S/C10H22O2Si/c1-7-11-10(8(2)9(10)3)12-13(4,5)6/h8-9H,7H2,1-6H3
InChIKey QKHYMNASIDGIAZ-UHFFFAOYSA-N
Properties
Density 0.899g/cm3 (Cal.)
Boiling point 187.898°C at 760 mmHg (Cal.)
Flash point 53.856°C (Cal.)
Refractive index 1.433 (Cal.)
Market Analysis Reports
List of Reports Available for [(1-Ethoxy-2,3-Dimethylcyclopropyl)Oxy](Trimethyl)Silane
Related Products
5,10,15,20,25,30,35-Heptakis({[Dimethyl(...  (4S)-4-Amino-3,3-Dimethyl-1,2-Oxazolidin...  Pentafluorophenyl N<Sup>2</Sup>-[(9H-Flu...  8-Isopropyltetracyclo[4.3.0.0<Sup>2,4</S...  5-Amino-6-(Methylamino)-2,3-Pyrazinedica...  5-Amino-6-(Ethylamino)-2,3-Pyrazinedicar...  1-(Triisopropylsilyl)-1H-Indole  N-Methyl-N-(Methylcarbamoyl)-L-Alanine  2-Hydroxy-3-{[3-(Triethoxysilyl)Propyl]A...  6-Amino-2-Methoxy-4(5H)-Pyrimidinone  1-(7-Azabicyclo[4.2.0]Octa-1,3,5-Trien-7...  Ethyl 5-Amino-2-Fluorobenzoate  4-(3-Nitrobenzyl)Morpholine  7,7-Dimethyl-4,5-Dihydro-7H-Pyrano[3,4-c...  2-Chloro-1-(1H-Indol-6-Yl)Ethanone