Online Database of Chemicals from Around the World

2-(4-丁基苯基)-5-丙基嘧啶
[CAS# 123740-94-3]

供应商
Achemica 瑞士 询价快递  
+41 (24) 466-2929
contact@achemica.com
化学品生产商(2010 年起)
International Laboratory Limited 美国 询价快递  
+1 (650) 278-9963
admin@intlab.org
化学品生产商(2002 年起)
TimTec 美国 询价快递  
+1 (302) 292-8500
info@timtec.com
化学品生产商
基本信息
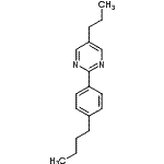
产品名称 2-(4-丁基苯基)-5-丙基嘧啶
英文名 2-(4-Butylphenyl)-5-Propylpyrimidine
别名 2-(4-Butylphenyl)-5-propylpyrimidine #; 2-(4-n-Butylphenyl)-5-n-propyl-pyrimidine
分子结构 CAS 登录号:123740-94-3, 2-(4-丁基苯基)-5-丙基嘧啶
分子式 C17H22N2
分子量 254.37
CAS 登录号 123740-94-3
分子行输入简码 SMILES n1cc(cnc1c2ccc(cc2)CCCC)CCC
国际化学标识码 InChI 1S/C17H22N2/c1-3-5-7-14-8-10-16(11-9-14)17-18-12-15(6-4-2)13-19-17/h8-13H,3-7H2,1-2H3
国际化学标识检索码 InChIKey OJTZWJNIJQJOEW-UHFFFAOYSA-N
物理化学性质
密度 0.992g/cm3 (计算值)
沸点 313.346°C at 760 mmHg (计算值)
闪点 116.757°C (计算值)
折射率 1.537 (计算值)
市场分析报告
请浏览2-(4-丁基苯基)-5-丙基嘧啶市场分析报告总目录
相关产品
3-(2-羧基-4-甲基-双环[2.2.1]庚-5...  酞菁银  (4S,4aS,7aR)-4-氟-2,4,7A-三...  4-(3-甲基-2,3-二氢-1,3-苯并噻唑-2...  3-甲基-2-[(Z)-2-苯基乙烯基]-2,3-...  2-丁基-2-(3-庚烷基)-3-甲基-2,3-二...  2-丁基-2-异丙基-3-甲基-2,3-二氢-1,...  3-甲基-2-(苯基乙炔基)-2,3-二氢-1,3...  5-(羟基甲基)-1,2-恶唑-3-羧酸乙酯  2-硝基-5-嘧啶胺  5-乙氧基-2-甲基-1,3-苯并噻唑  (2,6-二甲基咪唑并[2,1-b][1,3]噻唑...  (3E)-2-(1,3-二氢-2H-苯并咪唑-2-...  N,N-二甲基-13-二十二碳烯-1-胺  铋铅硫化物