Online Database of Chemicals from Around the World

(1S,2S,3R,4R,5S,6R)-7-氮杂双环[4.1.0]庚烷-2,3,4,5-四醇
[CAS# 123788-61-4]

供应商
CAS#: 123788-61-4
产品: (1S,2S,3R,4R,5S,6R)-7-氮杂双环[4.1.0]庚烷-2,3,4,5-四醇
暂时没有厂家供应该产品。
基本信息
产品名称 (1S,2S,3R,4R,5S,6R)-7-氮杂双环[4.1.0]庚烷-2,3,4,5-四醇
英文名 (1S,2S,3R,4R,5S,6R)-7-Azabicyclo[4.1.0]Heptane-2,3,4,5-Tetrol
别名 Conduritol Aziridine; 1,2-Dideoxy-1,2-Epimino-Myo-Inositol; 1,2-Dideoxy-1,2-Iminoinositol
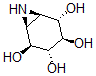
分子结构 CAS 登录号:123788-61-4, (1S,2S,3R,4R,5S,6R)-7-氮杂双环[4.1.0]庚烷-2,3,4,5-四醇
分子式 C6H11NO4
分子量 161.16
CAS 登录号 123788-61-4
分子行输入简码 SMILES [C@H]12N[C@H]1[C@H](O)[C@@H](O)[C@H](O)[C@H]2O
国际化学标识码 InChI 1S/C6H11NO4/c8-3-1-2(7-1)4(9)6(11)5(3)10/h1-11H/t1-,2+,3-,4-,5+,6+/m0/s1
国际化学标识检索码 InChIKey UVCVKSCVWUWBRS-UZAAGFTCSA-N
物理化学性质
密度 1.807g/cm3 (计算值)
沸点 345.043°C at 760 mmHg (计算值)
闪点 197.763°C (计算值)
市场分析报告
请浏览(1S,2S,3R,4R,5S,6R)-7-氮杂双环[4.1.0]庚烷-2,3,4,5-四醇市场分析报告总目录
相关产品
2-[2,5-二氧代-4-(1,2,3,4-四氢吖...  三氯三聚氰胺  N-[4,4-二(苯基)丁烷-2-基]甲酰胺  二(三丁基锡)十二碳烯基琥珀酸盐  耐尔蓝-铂四氯化物络合物  4-氨基-5-氯-N-[[(2S)-吡咯烷-2-基...  3-[2,13-二羟基-13-[5-[5-(1-羟...  二磷化三钡  2-丙酰氧基乙基丙酸酯  (2S)-2-[[(2S)-2-氨基-3-苯基丙酰...  N-[3-[(8-溴-6-二甲基氨基嘌呤-9-基)...  4-甲氧基吡啶-2-羧酸盐酸盐  11-甲基-20,21-二去甲埃那美宁  N'-乙基-N,N-二甲基乙二胺  3-氨基-6-氯-N-(二氨基亚甲基)-5-[乙基...