基本信息
| 产品名称 |
28-表易变霉素钠盐 |
| 英文名 |
28-Epimutalomycin sodium salt |
| 别名 |
Sodium 2-[2-Hydroxy-6-[1-[9-Hydroxy-2-[5-[5-(6-Hydroxy-3,5,6-Trimethyl-Tetrahydropyran-2-Yl)-3-Methyl-Tetrahydrofuran-2-Yl]-5-Methyl-Tetrahydrofuran-2-Yl]-2,8-Dimethyl-1,6-Dioxaspiro[4.5]Decan-7-Yl]Ethyl]-4-Methoxy-3,5-Dimethyl-Tetrahydropyran-2-Yl]Propanoate; Sodium 2-[2-Hydroxy-6-[1-[9-Hydroxy-2-[5-[5-(6-Hydroxy-3,5,6-Trimethyl-2-Tetrahydropyranyl)-3-Methyl-2-Tetrahydrofuranyl]-5-Methyl-2-Tetrahydrofuranyl]-2,8-Dimethyl-1,6-Dioxaspiro[4.5]Decan-7-Yl]Ethyl]-4-Methoxy-3,5-Dimethyl-2-Tetrahydropyranyl]Propanoate; Sodium 2-[2-Hydroxy-6-[1-[9-Hydroxy-2-[5-[5-(6-Hydroxy-3,5,6-Trimethyl-Tetrahydropyran-2-Yl)-3-Methyl-Tetrahydrofuran-2-Yl]-5-Methyl-Tetrahydrofuran-2-Yl]-2,8-Dimethyl-1,6-Dioxaspiro[4.5]Decan-7-Yl]Ethyl]-4-Methoxy-3,5-Dimethyl-Tetrahydropyran-2-Yl]Propionate |
|
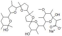
| 分子结构 |
 |
| 分子式 |
C41H69NaO12 |
| 分子量 |
776.98 |
| CAS 登录号 |
124918-42-9 (124985-96-2) |
| 分子行输入简码 SMILES |
CC3(OC2(OC(C(C1OC(O)(C(C(OC)C1C)C)C(C([O-])=O)C)C)C(C(O)C2)C)CC3)C6OC(C4OC(CC4C)C5OC(O)(C(CC5C)C)C)(CC6)C.[Na+] |
| 国际化学标识码 InChI |
1S/C41H70O12.Na/c1-20-17-22(3)39(11,45)50-31(20)29-18-21(2)35(48-29)38(10)14-13-30(49-38)37(9)15-16-40(53-37)19-28(42)23(4)32(51-40)24(5)33-25(6)34(47-12)26(7)41(46,52-33)27(8)36(43)44;/h20-35,42,45-46H,13-19H2,1-12H3,(H,43,44);/q;+1/p-1 |
| 国际化学标识检索码 InChIKey |
CPFAJMOABNHQTP-UHFFFAOYSA-M |
|