Online Database of Chemicals from Around the World

丁香因子A
[CAS# 125051-66-3]

供应商
CAS#: 125051-66-3
产品: 丁香因子A
暂时没有厂家供应该产品。
基本信息
产品名称 丁香因子A
英文名 Syringostatin A
别名 2-[(9Z)-21,24-Bis(2-Aminoethyl)-15-(3-Aminopropyl)-3-(2-Chloro-1-Hydroxy-Ethyl)-9-Ethylidene-12-(1-Hydroxyethyl)-18-(2-Hydroxyethyl)-27-(3-Hydroxytetradecanoylamino)-2,5,8,11,14,17,20,23,26-Nonaoxo-1-Oxa-4,7,10,13,16,19,22,25-Octazacyclooctacos-6-Yl]-2-Hydroxy-Acetic Acid; 2-[(9Z)-21,24-Bis(2-Aminoethyl)-15-(3-Aminopropyl)-3-(2-Chloro-1-Hydroxyethyl)-9-Ethylidene-12-(1-Hydroxyethyl)-18-(2-Hydroxyethyl)-27-[(3-Hydroxy-1-Oxotetradecyl)Amino]-2,5,8,11,14,17,20,23,26-Nonaoxo-1-Oxa-4,7,10,13,16,19,22,25-Octazacyclooctacos-6-Yl]-2-Hydroxyacetic Acid; 2-[(9Z)-21,24-Bis(2-Aminoethyl)-15-(3-Aminopropyl)-3-(2-Chloro-1-Hydroxy-Ethyl)-9-Ethylidene-12-(1-Hydroxyethyl)-18-(2-Hydroxyethyl)-27-(3-Hydroxytetradecanoylamino)-2,5,8,11,14,17,20,23,26-Nonaketo-1-Oxa-4,7,10,13,16,19,22,25-Octazacyclooctacos-6-Yl]-2-Hydroxy-Acetic Acid
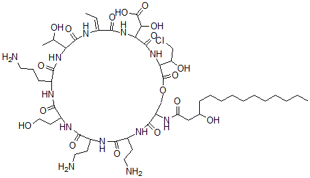
分子结构 CAS 登录号:125051-66-3, 丁香因子A
分子式 C50H87ClN12O18
分子量 1179.76
CAS 登录号 125051-66-3
分子行输入简码 SMILES C(C(NC1C(NC(C(NC(CCN)C(NC(C(NC(C(NC(C(NC(\C(NC(C(NC(C(OC1)=O)C(O)CCl)=O)C(C(=O)O)O)=O)=C/C)=O)C(O)C)=O)CCCN)=O)CCO)=O)=O)CCN)=O)=O)C(O)CCCCCCCCCCC
国际化学标识码 InChI 1S/C50H87ClN12O18/c1-4-6-7-8-9-10-11-12-13-15-28(66)24-36(68)55-34-26-81-50(80)38(35(67)25-51)62-48(77)39(40(69)49(78)79)63-41(70)29(5-2)56-47(76)37(27(3)65)61-45(74)30(16-14-20-52)57-44(73)33(19-23-64)60-43(72)31(17-21-53)58-42(71)32(18-22-54)59-46(34)75/h5,27-28,30-35,37-40,64-67,69H,4,6-26,52-54H2,1-3H3,(H,55,68)(H,56,76)(H,57,73)(H,58,71)(H,59,75)(H,60,72)(H,61,74)(H,62,77)(H,63,70)(H,78,79)/b29-5-
国际化学标识检索码 InChIKey SOKGGVHELUKAFO-SDYNXESYSA-N
物理化学性质
密度 1.371g/cm3 (计算值)
沸点 1608.083°C at 760 mmHg (计算值)
闪点 926.335°C (计算值)
市场分析报告
请浏览丁香因子A市场分析报告总目录
相关产品
6-甲基-N-辛基-4-氧代吡啶并[1,2-a]嘧...  6-甲基-N-(2-甲基丁烷-2-基)-4-氧代吡...  N-环丙基-6-甲基-4-氧代吡啶并[1,2-a]...  N-环己基-6-甲基-4-氧代吡啶并[1,2-a]...  6-甲基-4-氧代-N-苯基吡啶并[1,6-a]嘧...  二铋二钌七氧化物  3-(2-甲氧基乙氧基)丙醛  1-[二氟-(1,2,2,3,3,4,4,5,5,...  6-[4-[(2-甲基-3-氧代-1-环戊烯基)氨...  5-甲基-6-[4-[(2-甲基-3-氧代-1-环...  2-氨基-9-[(1R,2R,3S,4R)-2,3...  3-(2,6-二氨基嘌呤-9-基)-5-(羟基甲基...  2-甲基-1-(2,4,6-三羟基苯基)丁烷-1-...  (1-氨基-2,2-二甲基丙基)膦酸水合物  [(2R)-2-膦酸基戊烷-2-基]铵