Online Database of Chemicals from Around the World

[(2R)-3-棕榈酰氧基-2-[(5S,6Z,8E,11E,14E)-5-羟基二十碳-6,8,11,14-四烯酰基]氧基丙基]2-三甲基铵乙基磷酸酯盐
[CAS# 125111-41-3]

供应商
CAS#: 125111-41-3
产品: [(2R)-3-棕榈酰氧基-2-[(5S,6Z,8E,11E,14E)-5-羟基二十碳-6,8,11,14-四烯酰基]氧基丙基]2-三甲基铵乙基磷酸酯盐
暂时没有厂家供应该产品。
基本信息
产品名称 [(2R)-3-棕榈酰氧基-2-[(5S,6Z,8E,11E,14E)-5-羟基二十碳-6,8,11,14-四烯酰基]氧基丙基]2-三甲基铵乙基磷酸酯盐
英文名 [(2R)-3-Hexadecanoyloxy-2-[(5S,6Z,8E,11E,14E)-5-Hydroxyicosa-6,8,11,14-Tetraenoyl]Oxypropyl] 2-Trimethylazaniumylethyl Phosphate
别名 [(2R)-3-Hexadecanoyloxy-2-[(5S,6Z,8E,11E,14E)-5-Hydroxyicosa-6,8,11,14-Tetraenoyl]Oxy-Propyl] 2-Trimethylammonioethyl Phosphate; [(2R)-2-[(5S,6Z,8E,11E,14E)-5-Hydroxy-1-Oxoicosa-6,8,11,14-Tetraenoxy]-3-(1-Oxohexadecoxy)Propyl] 2-Trimethylammonioethyl Phosphate; [(2R)-3-Hexadecanoyloxy-2-[(5S,6Z,8E,11E,14E)-5-Hydroxyicosa-6,8,11,14-Tetraenoyl]Oxy-Propyl] 2-Trimethylazaniumylethyl Phosphate
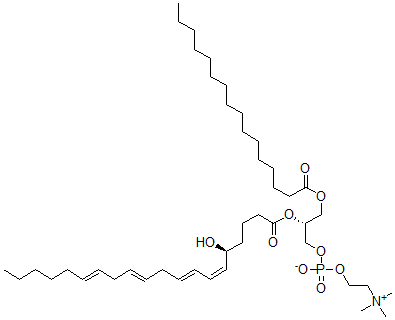
分子结构 CAS 登录号:125111-41-3, [(2R)-3-棕榈酰氧基-2-[(5S,6Z,8E,11E,14E)-5-羟基二十碳-6,8,11,14-四烯酰基]氧基丙基]2-三甲基铵乙基磷酸酯盐
分子式 C44H80NO9P
分子量 798.09
CAS 登录号 125111-41-3
分子行输入简码 SMILES [C@H](OC(=O)CCC[C@H](O)\C=C/C=C/C/C=C/C/C=C/CCCCC)(CO[P](OCC[N+](C)(C)C)([O-])=O)COC(=O)CCCCCCCCCCCCCCC
国际化学标识码 InChI 1S/C44H80NO9P/c1-6-8-10-12-14-16-18-20-22-24-26-28-30-33-41(46)34-32-36-44(48)54-42(40-53-55(49,50)52-38-37-45(3,4)5)39-51-43(47)35-31-29-27-25-23-21-19-17-15-13-11-9-7-2/h14,16,20,22,26,28,30,33,41-42,46H,6-13,15,17-19,21,23-25,27,29,31-32,34-40H2,1-5H3/b16-14+,22-20+,28-26+,33-30-/t41-,42-/m1/s1
国际化学标识检索码 InChIKey IVTVKFZMSCWBFZ-MIYDOVCTSA-N
市场分析报告
请浏览[(2R)-3-棕榈酰氧基-2-[(5S,6Z,8E,11E,14E)-5-羟基二十碳-6,8,11,14-四烯酰基]氧基丙基]2-三甲基铵乙基磷酸酯盐市场分析报告总目录
相关产品
(3R,4R,6S)-4-(叔丁基-二甲基硅烷基)...  三硫化四砷  3,8-二羟基-4-甲氧基苯并吡喃-2-酮  3,8-二羟基-4-甲氧基-2-氧代苯并吡喃-5-...  3-(5,8-二羟基-2-氧代苯并吡喃-7-基)-...  谷氨酰-谷氨酰胺酰-苯丙氨酰 H-天冬氨酰-天冬氨...  alpha,alpha-二(2-吗啉基乙基)-1-...  (1-十八烷基吡咯烷-3-基)甲醇盐酸盐  (3alpha,9beta,10alpha,11a...  (2R)-2-氨基-3-(7H-嘌呤-6-基硫基)...  [(2R)-3-棕榈酰氧基-2-[(5Z,8E,1...  鲎肽I  鲎肽II  速普肽II  5-氯-N-[2-[(4-碘苯基)甲基-甲基氨基]...