Online Database of Chemicals from Around the World

N2-(3-羟基-1-氧代十二烷基)-L-天冬氨酰胺酰-N1-(1-甲酰基-3-甲基丁基)-L-谷氨二酰胺
[CAS# 125882-62-4]

供应商
CAS#: 125882-62-4
产品: N2-(3-羟基-1-氧代十二烷基)-L-天冬氨酰胺酰-N1-(1-甲酰基-3-甲基丁基)-L-谷氨二酰胺
暂时没有厂家供应该产品。
基本信息
产品名称 N2-(3-羟基-1-氧代十二烷基)-L-天冬氨酰胺酰-N1-(1-甲酰基-3-甲基丁基)-L-谷氨二酰胺
英文名 N2-(3-Hydroxy-1-Oxododecyl)-L-Asparaginyl-N1-(1-Formyl-3-Methylbutyl)-L-Glutamamide
别名 (4S)-4-Amino-5-[[(2S)-4-Amino-2-(3-Hydroxydodecanoylamino)-4-Oxo-Butanoyl]-(1-Formyl-3-Methyl-Butyl)Amino]-5-Oxo-Pentanoic Acid; (4S)-4-Amino-5-[[(2S)-4-Amino-2-[(3-Hydroxy-1-Oxododecyl)Amino]-1,4-Dioxobutyl]-(1-Formyl-3-Methylbutyl)Amino]-5-Oxopentanoic Acid; (4S)-4-Amino-5-[[(2S)-4-Amino-2-(3-Hydroxydodecanoylamino)-4-Keto-Butanoyl]-(1-Formyl-3-Methyl-Butyl)Amino]-5-Keto-Valeric Acid
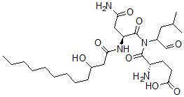
分子结构 CAS 登录号:125882-62-4, N2-(3-羟基-1-氧代十二烷基)-L-天冬氨酰胺酰-N1-(1-甲酰基-3-甲基丁基)-L-谷氨二酰胺
分子式 C27H48N4O8
分子量 556.70
CAS 登录号 125882-62-4
分子行输入简码 SMILES [C@H](C(=O)N(C(CC(C)C)C=O)C([C@@H](NC(CC(CCCCCCCCC)O)=O)CC(=O)N)=O)(N)CCC(=O)O
国际化学标识码 InChI 1S/C27H48N4O8/c1-4-5-6-7-8-9-10-11-20(33)15-24(35)30-22(16-23(29)34)27(39)31(19(17-32)14-18(2)3)26(38)21(28)12-13-25(36)37/h17-22,33H,4-16,28H2,1-3H3,(H2,29,34)(H,30,35)(H,36,37)/t19?,20?,21-,22-/m0/s1
国际化学标识检索码 InChIKey GURSMJKVYGQDIS-UJKMTWAASA-N
物理化学性质
密度 1.166g/cm3 (计算值)
沸点 813.905°C at 760 mmHg (计算值)
闪点 446.034°C (计算值)
市场分析报告
请浏览N2-(3-羟基-1-氧代十二烷基)-L-天冬氨酰胺酰-N1-(1-甲酰基-3-甲基丁基)-L-谷氨二酰胺市场分析报告总目录
相关产品
Bullatalicin  4-甲苯基氧羰基-2-乙基腺苷单磷酸酯  锰(III)去铁敏B络合物  钾二枸椽酸盐  锶二枸椽酸盐  4-[5-(4-甲脒基-2-硝基苯氧基)戊氧基]-...  3-氨基-4-[4-(2-氨基-4-甲脒基苯氧基)...  1,4-二丁氧基-2,5-二叔丁基苯  [(2S,3R,4S,5S,6R)-4,5-二羟基...  1-乙基-2-(1-乙基-7-甲基-4-氧代-1,...  5,7-二硝基喹喔啉-2,3-二酮  锡氟化物磷酸盐  4-苄基-1-甲基-3,6-二氢-2H-吡啶盐酸盐  [(2R,3S,5R)-5-(1-羟基-6-亚氨基...  二铵磷酸盐硫酸盐