Online Database of Chemicals from Around the World

2-[[4,5-二羟基-6-(羟基甲基)-3-(羟基-甲基氨基)四氢吡喃-2-基]氧基甲基]-6-[3,4,5-三羟基-6-(羟基甲基)四氢吡喃-2-基]氧基四氢吡喃-3,4,5-三醇
[CAS# 126077-90-5]

供应商
CAS#: 126077-90-5
产品: 2-[[4,5-二羟基-6-(羟基甲基)-3-(羟基-甲基氨基)四氢吡喃-2-基]氧基甲基]-6-[3,4,5-三羟基-6-(羟基甲基)四氢吡喃-2-基]氧基四氢吡喃-3,4,5-三醇
暂时没有厂家供应该产品。
基本信息
产品名称 2-[[4,5-二羟基-6-(羟基甲基)-3-(羟基-甲基氨基)四氢吡喃-2-基]氧基甲基]-6-[3,4,5-三羟基-6-(羟基甲基)四氢吡喃-2-基]氧基四氢吡喃-3,4,5-三醇
英文名 2-[[4,5-Dihydroxy-6-(Hydroxymethyl)-3-(Hydroxy-Methylamino)Oxan-2-Yl]Oxymethyl]-6-[3,4,5-Trihydroxy-6-(Hydroxymethyl)Oxan-2-Yl]Oxyoxane-3,4,5-Triol
别名 2-[[4,5-Dihydroxy-6-(Hydroxymethyl)-3-(Hydroxy-Methyl-Amino)Tetrahydropyran-2-Yl]Oxymethyl]-6-[3,4,5-Trihydroxy-6-(Hydroxymethyl)Tetrahydropyran-2-Yl]Oxy-Tetrahydropyran-3,4,5-Triol; 2-[[4,5-Dihydroxy-6-(Hydroxymethyl)-3-(Hydroxy-Methylamino)-2-Tetrahydropyranyl]Oxymethyl]-6-[[3,4,5-Trihydroxy-6-(Hydroxymethyl)-2-Tetrahydropyranyl]Oxy]Tetrahydropyran-3,4,5-Triol; 2-[[4,5-Dihydroxy-3-(Hydroxy-Methyl-Amino)-6-Methylol-Tetrahydropyran-2-Yl]Oxymethyl]-6-(3,4,5-Trihydroxy-6-Methylol-Tetrahydropyran-2-Yl)Oxy-Tetrahydropyran-3,4,5-Triol
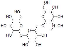
分子结构 CAS 登录号:126077-90-5, 2-[[4,5-二羟基-6-(羟基甲基)-3-(羟基-甲基氨基)四氢吡喃-2-基]氧基甲基]-6-[3,4,5-三羟基-6-(羟基甲基)四氢吡喃-2-基]氧基四氢吡喃-3,4,5-三醇
分子式 C19H35NO16
分子量 533.48
CAS 登录号 126077-90-5
分子行输入简码 SMILES C(C1C(C(C(C(O1)OCC2C(C(C(C(O2)OC3C(C(C(C(O3)CO)O)O)O)O)O)O)N(O)C)O)O)O
国际化学标识码 InChI 1S/C19H35NO16/c1-20(31)8-12(26)9(23)5(2-21)33-17(8)32-4-7-11(25)14(28)16(30)19(35-7)36-18-15(29)13(27)10(24)6(3-22)34-18/h5-19,21-31H,2-4H2,1H3
国际化学标识检索码 InChIKey LZVSAEWUJVJOLT-UHFFFAOYSA-N
市场分析报告
请浏览2-[[4,5-二羟基-6-(羟基甲基)-3-(羟基-甲基氨基)四氢吡喃-2-基]氧基甲基]-6-[3,4,5-三羟基-6-(羟基甲基)四氢吡喃-2-基]氧基四氢吡喃-3,4,5-三醇市场分析报告总目录
相关产品
N-羟基-N-(2-氨基甲酰乙基)谷氨酰-4-氨基...  (2,5-二氧代吡咯烷-1-基)3-[[(2S)-...  2-丙-2-烯基-3-(1-丙基哌啶-3-基)苯酚  3-(3-乙基-1-丙基哌啶-3-基)苯酚氢溴酸盐  苯基甲基(2S)-2-[[(2R)-2-[[(2S...  2-氨基-9-[(2R,3R,4S,5R)-3,4...  N-[2-[[4-(吖啶-9-基氨基)苯基]氨基]...  (2R,3S,4R,5R)-2,3,4,5,6-五...  硫肽菌素  3-[(4-甲氧基-6-甲基-1,3,5-三嗪-2...  3,6,7,7a-四氢-1H-吡咯并[1,5-a]...  乙基2,5-二氧代-1,3,6,7-四氢吡咯并[1...  2,5-二氧代-1,3,6,7-四氢吡咯并[1,2...  异米尼尔柠檬酸盐  6-(4-乙基苯基)吡咯并[3,4-b]吡啶-5,...