Online Database of Chemicals from Around the World

2-[(3-棕榈酰氧基-2,7,12,13-四羟基十八烷酰基)氨基]乙烷磺酸
[CAS# 126513-90-4]

供应商
CAS#: 126513-90-4
产品: 2-[(3-棕榈酰氧基-2,7,12,13-四羟基十八烷酰基)氨基]乙烷磺酸
暂时没有厂家供应该产品。
基本信息
产品名称 2-[(3-棕榈酰氧基-2,7,12,13-四羟基十八烷酰基)氨基]乙烷磺酸
英文名 2-[(3-Hexadecanoyloxy-2,7,12,13-Tetrahydroxyoctadecanoyl)Amino]Ethanesulfonic Acid
别名 2-[(3-Hexadecanoyloxy-2,7,12,13-Tetrahydroxy-Octadecanoyl)Amino]Ethanesulfonic Acid; 2-[[2,7,12,13-Tetrahydroxy-1-Oxo-3-(1-Oxohexadecoxy)Octadecyl]Amino]Ethanesulfonic Acid; 2-(3-Acyloxy-2,7,12,13-Tetrahydroxyoctadecanoyl)Aminoethanesulfonic Acid
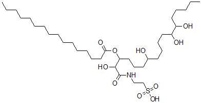
分子结构 CAS 登录号:126513-90-4, 2-[(3-棕榈酰氧基-2,7,12,13-四羟基十八烷酰基)氨基]乙烷磺酸
分子式 C36H71NO10S
分子量 710.02
CAS 登录号 126513-90-4
分子行输入简码 SMILES C(C(=O)OC(CCCC(CCCCC(C(CCCCC)O)O)O)C(C(NCC[S](=O)(=O)O)=O)O)CCCCCCCCCCCCCC
国际化学标识码 InChI 1S/C36H71NO10S/c1-3-5-7-8-9-10-11-12-13-14-15-16-18-27-34(41)47-33(35(42)36(43)37-28-29-48(44,45)46)26-21-23-30(38)22-19-20-25-32(40)31(39)24-17-6-4-2/h30-33,35,38-40,42H,3-29H2,1-2H3,(H,37,43)(H,44,45,46)
国际化学标识检索码 InChIKey BXEVRQCXMVJMIQ-UHFFFAOYSA-N
物理化学性质
密度 1.105g/cm3 (计算值)
市场分析报告
请浏览2-[(3-棕榈酰氧基-2,7,12,13-四羟基十八烷酰基)氨基]乙烷磺酸市场分析报告总目录
相关产品
(1S,3R,4S)-3-[(2E,4E,6E,8...  [(2S,3S)-3-羟基-3-甲氧羰基-4-甲基...  [(2R)-1-甲氧基-3-甲基-1-氧代丁烷-2...  (2R)-3-甲基-2-[(E)-3-苯基丙-2-...  (2R)-1-(2,4,6-三甲基苯基)磺酰基吡咯...  炔己蚁胺  (2Z,4E,6E,8E)-9-[6-(羟基甲基)...  1,3-二(壬酰氧基)丙-2-基壬酸酯  钛酸镍  2-甲基亚硒酰-N-苯基苯甲酰胺  (2R)-2-乙酰氨基-3-(2,2-二氯乙烯基硫...  1-[(2R,5S)-3-叠氮基-5-(羟基甲基)...  酒石酸钡锑  (2R,3R,4S,5R,6R)-2-[(2R,3...  5,7-二甲基喹啉-6-醇