Online Database of Chemicals from Around the World

N-乙酰基葡萄糖胺基(beta1-3)-N-乙酰基葡萄糖胺基(1-6)-吡喃半乳糖基(1-4)-N-乙酰基葡萄糖胺
[CAS# 127212-19-5]

供应商
CAS#: 127212-19-5
产品: N-乙酰基葡萄糖胺基(beta1-3)-N-乙酰基葡萄糖胺基(1-6)-吡喃半乳糖基(1-4)-N-乙酰基葡萄糖胺
暂时没有厂家供应该产品。
基本信息
产品名称 N-乙酰基葡萄糖胺基(beta1-3)-N-乙酰基葡萄糖胺基(1-6)-吡喃半乳糖基(1-4)-N-乙酰基葡萄糖胺
英文名 N-Acetylglucosaminyl(beta1-3)-N-Acetylglucosaminyl(1-6)-Galactopyranosyl(1-4)-N-Acetylglucosamine
别名 N-[(2S,3R,4R,5S,6R)-2-[(2S,3R,4S,5S)-2-[(1S,2R,3R)-3-Acetamido-1-[(1R)-1,2-Dihydroxyethyl]-2-Hydroxy-4-Oxo-Butoxy]-6-[[(2R,3R,4R,5S,6R)-3-Acetamido-4,5-Dihydroxy-6-(Hydroxymethyl)Tetrahydropyran-2-Yl]Oxymethyl]-3,5-Dihydroxy-Tetrahydropyran-4-Yl]Oxy-4,5-Dihydroxy-6-(Hydroxymethyl)Tetrahydropyran-3-Yl]Acetamide; N-[(2S,3R,4R,5S,6R)-2-[[(2S,3R,4S,5S)-2-[(1S,2R,3R)-3-Acetamido-1-[(1R)-1,2-Dihydroxyethyl]-2-Hydroxy-4-Oxobutoxy]-6-[[(2R,3R,4R,5S,6R)-3-Acetamido-4,5-Dihydroxy-6-(Hydroxymethyl)-2-Tetrahydropyranyl]Oxymethyl]-3,5-Dihydroxy-4-Tetrahydropyranyl]Oxy]-4,5-Dihydroxy-6-(Hydroxymethyl)-3-Tetrahydropyranyl]Acetamide; N-[(2S,3R,4R,5S,6R)-2-[(2S,3R,4S,5S)-2-[(1S,2R,3R)-3-Acetamido-1-[(1R)-1,2-Dihydroxyethyl]-2-Hydroxy-4-Keto-Butoxy]-6-[[(2R,3R,4R,5S,6R)-3-Acetamido-4,5-Dihydroxy-6-Methylol-Tetrahydropyran-2-Yl]Oxymethyl]-3,5-Dihydroxy-Tetrahydropyran-4-Yl]Oxy-4,5-Dihydroxy-6-Methylol-Tetrahydropyran-3-Yl]Acetamide
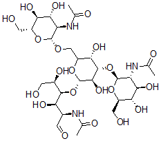
分子结构 CAS 登录号:127212-19-5, N-乙酰基葡萄糖胺基(beta1-3)-N-乙酰基葡萄糖胺基(1-6)-吡喃半乳糖基(1-4)-N-乙酰基葡萄糖胺
分子式 C30H51N3O21
分子量 789.74
CAS 登录号 127212-19-5
分子行输入简码 SMILES [C@@H]3(O[C@@H]1[C@@H](O)[C@H](O[C@@H]([C@H](O)[C@@H](NC(=O)C)C=O)[C@H](O)CO)OC([C@@H]1O)CO[C@@H]2O[C@@H]([C@@H](O)[C@H](O)[C@H]2NC(=O)C)CO)O[C@@H]([C@@H](O)[C@H](O)[C@H]3NC(=O)C)CO
国际化学标识码 InChI 1S/C30H51N3O21/c1-9(38)31-12(4-34)19(42)26(13(41)5-35)53-30-25(48)27(54-29-18(33-11(3)40)24(47)21(44)15(7-37)51-29)22(45)16(52-30)8-49-28-17(32-10(2)39)23(46)20(43)14(6-36)50-28/h4,12-30,35-37,41-48H,5-8H2,1-3H3,(H,31,38)(H,32,39)(H,33,40)/t12-,13+,14+,15+,16?,17+,18+,19+,20+,21+,22-,23+,24+,25+,26+,27-,28+,29-,30-/m0/s1
国际化学标识检索码 InChIKey SLBVJFUSIXXMDM-AVCFIVELSA-N
物理化学性质
密度 1.616g/cm3 (计算值)
沸点 1286.615°C at 760 mmHg (计算值)
闪点 731.918°C (计算值)
市场分析报告
请浏览N-乙酰基葡萄糖胺基(beta1-3)-N-乙酰基葡萄糖胺基(1-6)-吡喃半乳糖基(1-4)-N-乙酰基葡萄糖胺市场分析报告总目录
相关产品
(2E,4E,6E,8E)-三十二-2,4,6,8...  S-[[5-[(4E)-4-(1H-吲哚-3-基亚...  三(环戊二烯基)钬  6-(2-苯基乙基)羟亚氨基纳曲酮  6-(3-苯基丙基)羟亚氨基纳曲酮  S-[[5-[(4E)-4-(1H-吲哚-3-基亚...  S-[[5-[(4E)-4-(1H-吲哚-3-基亚...  S-[[5-[(4E)-4-(1H-吲哚-3-基亚...  S-[[5-[(4E)-4-(1H-吲哚-3-基亚...  S-[[5-[(4E)-4-(1H-吲哚-3-基亚...  9H-芴-9-基甲基碳酸乙酯  6-[[(1S,2S)-2-辛基环戊基]氨基]己酸  [3-[(1R,4aR,4bR,10aR)-1,4...  1-{(2S,3S)-3-[(N-乙酰基-L-丝氨...  膦酰[(2E,7R)-3,7,11-三甲基十二碳-...