Online Database of Chemicals from Around the World

Tert-Butyloxycarbonyl-Valyl-Alanyl-Leucyl-2-Aminoisobutyryl-Valyl-Alanyl-Leucyl-2-Aminoisobutyryl Methyl Ester
[CAS# 127363-91-1]

Suppliers
CAS#: 127363-91-1
Product: Tert-Butyloxycarbonyl-Valyl-Alanyl-Leucyl-2-Aminoisobutyryl-Valyl-Alanyl-Leucyl-2-Aminoisobutyryl Methyl Ester
No suppilers available for the product.
Identification
Name Tert-Butyloxycarbonyl-Valyl-Alanyl-Leucyl-2-Aminoisobutyryl-Valyl-Alanyl-Leucyl-2-Aminoisobutyryl Methyl Ester
Synonyms Methyl 2-[[(2S)-2-[[(2S)-2-[[(2S)-2-[[2-[[(2S)-2-[[(2S)-2-[[(2S)-2-(Tert-Butoxycarbonylamino)-3-Methyl-Butanoyl]Amino]Propanoyl]Amino]-4-Methyl-Pentanoyl]Amino]-2-Methyl-Propanoyl]Amino]-3-Methyl-Butanoyl]Amino]Propanoyl]Amino]-4-Methyl-Pentanoyl]Amino]-2-Methyl-Propanoate; 2-[[(2S)-2-[[(2S)-2-[[(2S)-2-[[2-[[(2S)-2-[[(2S)-2-[[(2S)-2-[(Tert-Butoxy-Oxomethyl)Amino]-3-Methyl-1-Oxobutyl]Amino]-1-Oxopropyl]Amino]-4-Methyl-1-Oxopentyl]Amino]-2-Methyl-1-Oxopropyl]Amino]-3-Methyl-1-Oxobutyl]Amino]-1-Oxopropyl]Amino]-4-Methyl-1-Oxopentyl]Amino]-2-Methylpropanoic Acid Methyl Ester; 2-[[(2S)-2-[[(2S)-2-[[(2S)-2-[[2-[[(2S)-2-[[(2S)-2-[[(2S)-2-(Tert-Butoxycarbonylamino)-3-Methyl-Butanoyl]Amino]Propanoyl]Amino]-4-Methyl-Pentanoyl]Amino]-2-Methyl-Propanoyl]Amino]-3-Methyl-Butanoyl]Amino]Propanoyl]Amino]-4-Methyl-Pentanoyl]Amino]-2-Methyl-Propionic Acid Methyl Ester
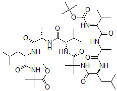
Molecular Structure CAS#: 127363-91-1, Tert-Butyloxycarbonyl-Valyl-Alanyl-Leucyl-2-Aminoisobutyryl-Valyl-Alanyl-Leucyl-2-Aminoisobutyryl Methyl Ester
Molecular Formula C42H76N8O11
Molecular Weight 869.11
CAS Registry Number 127363-91-1
SMILES [C@H](C(NC(C(=O)OC)(C)C)=O)(NC([C@@H](NC([C@@H](NC(C(NC([C@@H](NC([C@@H](NC([C@@H](NC(=O)OC(C)(C)C)C(C)C)=O)C)=O)CC(C)C)=O)(C)C)=O)C(C)C)=O)C)=O)CC(C)C
InChI 1S/C42H76N8O11/c1-21(2)19-27(45-32(52)26(10)44-36(56)30(24(7)8)48-39(59)61-40(11,12)13)33(53)49-41(14,15)37(57)47-29(23(5)6)35(55)43-25(9)31(51)46-28(20-22(3)4)34(54)50-42(16,17)38(58)60-18/h21-30H,19-20H2,1-18H3,(H,43,55)(H,44,56)(H,45,52)(H,46,51)(H,47,57)(H,48,59)(H,49,53)(H,50,54)/t25-,26-,27-,28-,29-,30-/m0/s1
InChIKey RSDDIXBRSNNUJI-WPMUBMLPSA-N
Properties
Density 1.11g/cm3 (Cal.)
Boiling point 1082.939°C at 760 mmHg (Cal.)
Flash point 608.739°C (Cal.)
Market Analysis Reports
List of Reports Available for Tert-Butyloxycarbonyl-Valyl-Alanyl-Leucyl-2-Aminoisobutyryl-Valyl-Alanyl-Leucyl-2-Aminoisobutyryl Methyl Ester
Related Products
(1,4a-Dimethyl-7-Propan-2-Yl-2,3,4,4b,5,...  Triacetoxystibine Oxide  4-(4-Morpholinyl)-6-Propyl-1,3,5-Triazin...  2-(Hydroxymethyl)-2-((4-(4-morpholinyl)-...  2-Methyl-2-((4-(4-Morpholinyl)-6-Propyl-...  2-[Benzyl-(4-Morpholin-4-Yl-6-Propyl-1,3...  3,4-Dimethyl-N-(4-Morpholin-4-Yl-6-Propy...  2-(Mercaptomethyl)-4-Methylpentanoic Aci...  N6-(2,4-dinitrophenyl)-N2-(1-(N-(N-(1-((...  3,3',5,5'-Tetrachlorobiphenyl  1,7-Bis(2-Hydroxybenzyl)-4-(4-Aminobenzy...  3'-(Methylanthraniloyl)-2'-Deoxy-Guanosi...  Sodium 1,4-Bis(2-Methylpentoxy)-1,4-Diox...  Tin Sulfide  Titanium Oxide Phosphate