基本信息
| 产品名称 |
(2S)-2,3-二(月桂酰氧基)丙基 2-(三甲基铵基)乙基磷酸酯 |
| 英文名 |
(2S)-2,3-Bis(Dodecanoyloxy)Propyl 2-(Trimethylammonio)Ethyl Phosphate |
| 别名 |
(R)-(7-Lauroyl-4-oxido-10-oxo-3,5,9-trioxa-4-phosphahenicosyl)trimethylammonium 4-oxide |
|
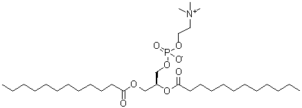
| 分子结构 |
 |
| 分子式 |
C32H64NO8P |
| 分子量 |
621.83 |
| CAS 登录号 |
127641-86-5 |
| 分子行输入简码 SMILES |
O=C(OC[C@H](OC(=O)CCCCCCCCCCC)COP([O-])(=O)OCC[N+](C)(C)C)CCCCCCCCCCC |
| 国际化学标识码 InChI |
1S/C32H64NO8P/c1-6-8-10-12-14-16-18-20-22-24-31(34)38-28-30(29-40-42(36,37)39-27-26-33(3,4)5)41-32(35)25-23-21-19-17-15-13-11-9-7-2/h30H,6-29H2,1-5H3/t30-/m0/s1 |
| 国际化学标识检索码 InChIKey |
IJFVSSZAOYLHEE-PMERELPUSA-N |
|