Online Database of Chemicals from Around the World

Bastadin 9
[CAS# 127687-07-4]

供应商
CAS#: 127687-07-4
产品: Bastadin 9
暂时没有厂家供应该产品。
基本信息
产品名称 Bastadin 9
英文名 Bastadin 9
别名 Bastadin 9
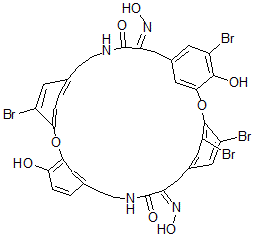
分子结构 CAS 登录号:127687-07-4, Bastadin 9
分子式 C34H28Br4N4O8
分子量 940.23
CAS 登录号 127687-07-4
分子行输入简码 SMILES O=C3NCCC5=CC=C(OC1=C(O)C=CC(=C1)CCNC(=O)C(=N/O)\CC4=CC(=C(OC2=CC(=CC(=C2O)Br)C/C3=N/O)C(=C4)Br)Br)C(=C5)Br
国际化学标识码 InChI 1S/C34H28Br4N4O8/c35-21-9-17-2-4-28(21)49-29-15-18(1-3-27(29)43)6-8-40-33(45)25(41-47)13-19-11-23(37)32(24(38)12-19)50-30-16-20(10-22(36)31(30)44)14-26(42-48)34(46)39-7-5-17/h1-4,9-12,15-16,43-44,47-48H,5-8,13-14H2,(H,39,46)(H,40,45)/b41-25-,42-26-
国际化学标识检索码 InChIKey IHQGNSPVGIMQBJ-ZHEAWEGVSA-N
物理化学性质
密度 1.875g/cm3 (计算值)
市场分析报告
请浏览Bastadin 9市场分析报告总目录
相关产品
C.I.活性紫4  2-氯-5-[[4,5-二氢-3-甲基-5-氧代-...  2-乙基-6-硝基-2,3-二氢咪唑并[2,1-b...  6-硝基-2-(三氯甲基)-2,3-二氢咪唑并[2...  6-硝基-2-(丙-2-基氧基甲基)-2,3-二氢...  物质 P  (1R-(1alpha,4beta,4aalpha...  乙基4-[(5,5,8,8-四甲基6,7-二氢萘-...  3-氟-5-[[5-羟基-1-[(1-羟基-3-甲...  5,6-二羟基-4-氟色胺肌酐  Bastadin 8  二氯化二硫  谷氨酰-gamma-酰肼(4)-缩宫素  4-谷氨酸-gamma-酰肼-8-赖氨酸加压素  3-[[(E)-(2-羟基-4-氧代-1-环己-2...