Online Database of Chemicals from Around the World

加利车霉素epsilon
[CAS# 128050-91-9]

供应商
CAS#: 128050-91-9
产品: 加利车霉素epsilon
暂时没有厂家供应该产品。
基本信息
产品名称 加利车霉素epsilon
英文名 Calicheamicin epsilon
别名 Calicheamicin Epsilon; Calicheamicin Epsilon-I; Clm Epsilon
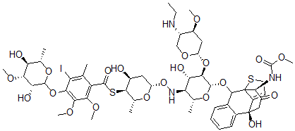
分子结构 CAS 登录号:128050-91-9, 加利车霉素epsilon
分子式 C54H74IN3O21S2
分子量 1292.21
CAS 登录号 128050-91-9
分子行输入简码 SMILES [C@@]79(O)C1=CCSC1(C(O[C@@H]5O[C@@H]([C@@H](NO[C@@H]4O[C@@H]([C@@H](SC(=O)C3=C(OC)C(=C(OC2O[C@H]([C@H](O)[C@@H](OC)[C@H]2O)C)C(=C3C)I)OC)[C@@H](O)C4)C)[C@H](O)[C@H]5O[C@@H]6OC[C@H](NCC)[C@@H](OC)C6)C)C8=CC=CC=C78)[C@@H](NC(OC)=O)C(=O)C9
国际化学标识码 InChI 1S/C54H74IN3O21S2/c1-11-56-28-21-72-33(19-31(28)67-6)76-44-39(62)37(23(3)74-51(44)78-48-26-14-12-13-15-27(26)53(66)20-30(60)47(57-52(65)71-10)54(48)32(53)16-17-80-54)58-79-34-18-29(59)46(25(5)73-34)81-49(64)35-22(2)36(55)42(45(70-9)41(35)68-7)77-50-40(63)43(69-8)38(61)24(4)75-50/h12-16,23-25,28-29,31,33-34,37-40,43-44,46-48,50-51,56,58-59,61-63,66H,11,17-21H2,1-10H3,(H,57,65)/t23-,24+,25-,28+,29+,31+,33+,34+,37-,38+,39+,40-,43-,44-,46-,47+,48?,50?,51+,53-,54?/m1/s1
国际化学标识检索码 InChIKey XXTHLYVEMKYYDA-FRNXNLOSSA-N
市场分析报告
请浏览加利车霉素epsilon市场分析报告总目录
相关产品
(1aS)-7-((1a,2-二氢-5-氧代-1H...  18-二十六碳烯酸  (2R,3S,4S,5R,6S)-3,4,5-三羟...  1,3-二(2,3-二氢吲哚-1-基)丙烷-1,3...  苯丙氨酰-谷氨酰胺酰-缬氨酰-缬氨酰-S-(3-硝...  Mersacidin  1,2,3,4,10,10-六氯-6,7-环氧-1...  Dexylosylbenanomicin B  (R)-N-((六氢-1-甲基-2,6-二氧代-4...  N-(N-(N-甘氨酰甘氨酰)-L-组氨酰)甘氨酸  3-(4-叠氮基苯甲酰基氧基)地尔硫卓  3-Methoxysampangine  1,2-二硬脂酰-Sn-甘油-3-磷酰-N-(4-...  Phlorofucofuroeckol A  2-氧代-6-脱羟基新莽草素