Online Database of Chemicals from Around the World

Methylpheophorbide-alpha-(Hexyl-Ether)
[CAS# 128146-77-0]

Suppliers
CAS#: 128146-77-0
Product: Methylpheophorbide-alpha-(Hexyl-Ether)
No suppilers available for the product.
Identification
Name Methylpheophorbide-alpha-(Hexyl-Ether)
Synonyms Mp-A-6E; Methyl 14-Ethyl-9-(1-(Hexyloxy)Ethyl)-21-(Methoxycarbonyl)-4,8,13,18-Tetramethyl-20-Oxo-3-Phorbinepropanoate; Methylpheophorbide-A-(Hexyl-Ether)
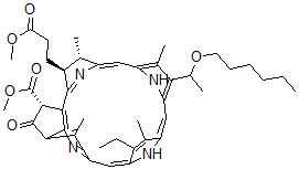
Molecular Structure CAS#: 128146-77-0, Methylpheophorbide-alpha-(Hexyl-Ether)
Molecular Formula C42H52N4O6
Molecular Weight 708.90
CAS Registry Number 128146-77-0
SMILES [C@@H]2([C@@H](C3=CC1=C(C(=C([NH]1)C=C6[NH]C(=CC5=NC4=C(C2=N3)[C@H](C(=O)C4=C5C)C(OC)=O)C(=C6C)CC)C(OCCCCCC)C)C)C)CCC(OC)=O
InChI 1S/C42H52N4O6/c1-10-12-13-14-17-52-25(7)35-23(5)30-18-29-22(4)27(15-16-34(47)50-8)39(45-29)37-38(42(49)51-9)41(48)36-24(6)31(46-40(36)37)19-32-26(11-2)21(3)28(43-32)20-33(35)44-30/h18-20,22,25,27,38,43-44H,10-17H2,1-9H3/t22-,25?,27-,38+/m0/s1
InChIKey YSXJXWCZRCXKHU-RAECGGCMSA-N
Properties
Density 1.186g/cm3 (Cal.)
Boiling point 944.213°C at 760 mmHg (Cal.)
Flash point 524.841°C (Cal.)
Market Analysis Reports
List of Reports Available for Methylpheophorbide-alpha-(Hexyl-Ether)
Related Products
18-Crown-6-Tetracarboxybisdiammineplatin...  5-Iodobenzovesamicol  6-O-(3-Ethoxypropionyl)-3',4'-O-Exo-Benz...  1-(2-Chloroethyl)-1-(2-Hydroxyethyl)-3-N...  Osmium Tetroxide N,N,N',N'-Tetramethylet...  Tamolarizine  6-Hydroxy-1-Methyl-10-((6-Deoxy-2-O-(6-D...  Methylcyclopentadienyltitaniumtrichlorid...  Raxofelast  (3beta,5alpha,25R)-Spirostan-3-Yl O-beta...  3beta-O-(beta-Xylopyranosyl(1-2),beta-Xy...  7-(2-(2-Aminothiazole-4-yl)-2-(1-carboxy...  2-Amino-3-phosphonopropionic acid  1-Iodo-2-Isocyanatobenzene  (2S,3S,4R,5R,6S)-3-[(Z)-1-[4-(2-Dimethyl...