Identification
| Name |
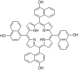
4,4',4'',4'''-(21H,23H-Porphine-5,10,15,20-Tetrayl)Tetrakis-1-Naphthalenol |
| Synonyms |
4,4',4'',4'''-(21H,23H-Porphine-5,10,15,20-Tetrayl)Tetrakis-1-Naphthalenol; 4-Hydroxy-1-Naphthylporphyrin |
|
| Molecular Structure |
 |
| Molecular Formula |
C60H38N4O4 |
| Molecular Weight |
878.98 |
| CAS Registry Number |
128890-04-0 |
| SMILES |
C1=CC(=C2C(=C1O)C=CC=C2)C7=C%13N=C(C(=C%10C=CC(=C(C3=C4C(=C(C=C3)O)C=CC=C4)C9=NC(=C(C5=C6C(=C(C=C5)O)C=CC=C6)C8=CC=C7[NH]8)C=C9)[NH]%10)C%11=C%12C(=C(C=C%11)O)C=CC=C%12)C=C%13 |
| InChI |
1S/C60H38N4O4/c65-53-29-17-41(33-9-1-5-13-37(33)53)57-45-21-23-47(61-45)58(42-18-30-54(66)38-14-6-2-10-34(38)42)49-25-27-51(63-49)60(44-20-32-56(68)40-16-8-4-12-36(40)44)52-28-26-50(64-52)59(48-24-22-46(57)62-48)43-19-31-55(67)39-15-7-3-11-35(39)43/h1-32,61,64-68H |
| InChIKey |
YDFJVNXGMSCNMA-UHFFFAOYSA-N |
|