Online Database of Chemicals from Around the World

1-(L-2-Aminobutanoic Acid)-3-L-Isoleucine-4-(2-Mercapto-L-Tryptophan)-alpha-Amanitin De-S-Oxide
[CAS# 129274-06-2]

Suppliers
CAS#: 129274-06-2
Product: 1-(L-2-Aminobutanoic Acid)-3-L-Isoleucine-4-(2-Mercapto-L-Tryptophan)-alpha-Amanitin De-S-Oxide
No suppilers available for the product.
Identification
Name 1-(L-2-Aminobutanoic Acid)-3-L-Isoleucine-4-(2-Mercapto-L-Tryptophan)-alpha-Amanitin De-S-Oxide
Synonyms 1-S-Deoxo-Abu-3-Ile-Amaninamide; Amaninamide, S-Deoxo-Abu(1)-Ile(3)-; Amaninamide, S-Deoxo-Alpha-Aminobutyryl Acid(1)-Isoleucine(3)-
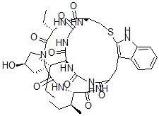
Molecular Structure CAS#: 129274-06-2, 1-(L-2-Aminobutanoic Acid)-3-L-Isoleucine-4-(2-Mercapto-L-Tryptophan)-alpha-Amanitin De-S-Oxide
Molecular Formula C39H55N9O9S
Molecular Weight 825.98
CAS Registry Number 129274-06-2
SMILES [C@@H]15N(C(=O)[C@@H](NC(=O)[C@H]2NC(=O)CNC(=O)[C@@H](NC(=O)CNC(=O)C(NC(=O)[C@@H](NC1=O)[C@H](CC)C)CC3=C(SC2)[NH]C4=CC=CC=C34)[C@H](CC)C)CC)C[C@H](O)C5
InChI 1S/C39H55N9O9S/c1-6-19(4)31-36(55)41-15-29(50)42-27-18-58-38-23(22-11-9-10-12-25(22)45-38)14-26(33(52)40-16-30(51)46-31)44-37(56)32(20(5)7-2)47-35(54)28-13-21(49)17-48(28)39(57)24(8-3)43-34(27)53/h9-12,19-21,24,26-28,31-32,45,49H,6-8,13-18H2,1-5H3,(H,40,52)(H,41,55)(H,42,50)(H,43,53)(H,44,56)(H,46,51)(H,47,54)/t19-,20-,21+,24-,26?,27-,28-,31-,32-/m0/s1
InChIKey OMOWRDIQAIEEMH-HFIVCSRHSA-N
Market Analysis Reports
List of Reports Available for 1-(L-2-Aminobutanoic Acid)-3-L-Isoleucine-4-(2-Mercapto-L-Tryptophan)-alpha-Amanitin De-S-Oxide
Related Products
(2S)-4-Amino-2-[[(2S)-2-[[2-[[(2S)-5-Ami...  Pyroglutamyl-glutamyl-glycyl-seryl-aspar...  (2S)-2-[[(2S)-3-Hydroxy-2-[[2-[[(2S)-5-H...  3-Penta-1,2-Dienyl-2,3-Dihydro-1-Benzofu...  N-[5-[[5-(Benzoylamino)-9,10-Dioxoanthra...  4-Fluorobenzo(j)Fluoranthene  10-Fluorobenzo(j)Fluoranthene  8-Fluoro-1,2,3,4-Tetrahydro-2,4-Methanoa...  Kijimicin  (7R)-10-Methyl-7-[(5-Methyl-1H-Imidazol-...  [(3aS,9aR)-2-Oxo-3,3a,4,9a-Tetrahydro-1H...  1-(Phenylmethyl)-3a,4,9,9a-Tetrahydro-3H...  (6R)-N-[3-[4-(2-Aminoethyl)-2,6-Dibromop...  2-(Dimethylamino)ethyl decanoate maleate...  2-(Dimethylamino)ethyl hexadecanoate (Z)...