基本信息
| 产品名称 |
2''-(腺苷-5'-硫代磷酰)妥布霉素 |
| 英文名 |
2''-(Adenosine-5'-thiophosphoryl)tobramycin |
| 别名 |
2-[[[4-Amino-2-[4,6-Diamino-3-[3-Amino-6-(Aminomethyl)-5-Hydroxy-Tetrahydropyran-2-Yl]Oxy-2-Hydroxy-Cyclohexoxy]-5-Hydroxy-6-(Hydroxymethyl)Tetrahydropyran-3-Yl]Oxy-Hydroxy-Phosphinothioyl]Oxymethyl]-5-(6-Aminopurin-9-Yl)Tetrahydrofuran-3,4-Diol; 2-[[[4-Amino-2-[4,6-Diamino-3-[[3-Amino-6-(Aminomethyl)-5-Hydroxy-2-Tetrahydropyranyl]Oxy]-2-Hydroxycyclohexoxy]-5-Hydroxy-6-(Hydroxymethyl)-3-Tetrahydropyranyl]Oxy-Hydroxyphosphinothioyl]Oxymethyl]-5-(6-Amino-9-Purinyl)Tetrahydrofuran-3,4-Diol; 2-[[[4-Amino-2-[4,6-Diamino-3-[3-Amino-6-(Aminomethyl)-5-Hydroxy-Tetrahydropyran-2-Yl]Oxy-2-Hydroxy-Cyclohexoxy]-5-Hydroxy-6-Methylol-Tetrahydropyran-3-Yl]Oxy-Hydroxy-Thiophosphoryl]Oxymethyl]-5-(6-Aminopurin-9-Yl)Tetrahydrofuran-3,4-Diol |
|
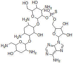
| 分子结构 |
 |
| 分子式 |
C28H49N10O14PS |
| 分子量 |
812.79 |
| CAS 登录号 |
129545-98-8 |
| 分子行输入简码 SMILES |
C2=NC1=C(N=CN=C1[N]2C3OC(C(O)C3O)CO[P](=S)(OC6C(OC5C(O)C(OC4OC(C(O)CC4N)CN)C(N)CC5N)OC(C(O)C6N)CO)O)N |
| 国际化学标识码 InChI |
1S/C28H49N10O14PS/c29-3-12-11(40)2-10(32)27(48-12)50-21-8(30)1-9(31)22(20(21)44)51-28-23(15(33)17(41)13(4-39)49-28)52-53(45,54)46-5-14-18(42)19(43)26(47-14)38-7-37-16-24(34)35-6-36-25(16)38/h6-15,17-23,26-28,39-44H,1-5,29-33H2,(H,45,54)(H2,34,35,36) |
| 国际化学标识检索码 InChIKey |
PZILKSUBCRXAFI-UHFFFAOYSA-N |
|