Online Database of Chemicals from Around the World

三邻苯二酚六内酰胺-铋(III)络合物
[CAS# 130343-57-6]

供应商
CAS#: 130343-57-6
产品: 三邻苯二酚六内酰胺-铋(III)络合物
暂时没有厂家供应该产品。
基本信息
产品名称 三邻苯二酚六内酰胺-铋(III)络合物
英文名 tricatechol hexalactam-bismuth(III) complex
别名 Tricatechol Hexalactam-Bismuth(Iii) Complex
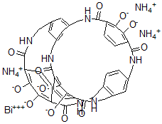
分子结构 CAS 登录号:130343-57-6, 三邻苯二酚六内酰胺-铋(III)络合物
分子式 C42H42BiN9O12
分子量 1073.83
CAS 登录号 130343-57-6
分子行输入简码 SMILES N5CC2=C3CNC(=O)C7=C([O-])C(=C(C(=O)NCC1=CC(=CC(=C1)CNC(=O)C4=C([O-])C(=C(C(=O)NCC(=C2)C=C3)C=C4)[O-])CNC(=O)C6=C([O-])C(=C(C5=O)C=C6)[O-])C=C7)[O-].[NH4+].[NH4+].[NH4+].[Bi+3]
国际化学标识码 InChI 1S/C42H36N6O12.Bi.3H3N/c49-31-25-3-4-26(32(31)50)38(56)44-14-20-9-21-11-22(10-20)16-46-40(58)28-6-8-30(36(54)34(28)52)42(60)48-18-24-12-19(13-43-37(25)55)1-2-23(24)17-47-41(59)29-7-5-27(33(51)35(29)53)39(57)45-15-21;;;;/h1-12,49-54H,13-18H2,(H,43,55)(H,44,56)(H,45,57)(H,46,58)(H,47,59)(H,48,60);;3*1H3/q;+3;;;/p-3
国际化学标识检索码 InChIKey AWEPWLHYWOLXOP-UHFFFAOYSA-K
市场分析报告
请浏览三邻苯二酚六内酰胺-铋(III)络合物市场分析报告总目录
相关产品
三邻苯二酚六内酰胺-铅(II)络合物  2-(4-硝基苯基)苯并[e]苯并三唑-6,8-二...  4-[5-(4-甲脒基苯氧基)戊氧基]-N'-羟基...  甘油醛3-磷酸酯脱氢酶(304-313)  N-[(4-氨基苯基)甲基]-3-氯丙酰胺  氢四氯金酸盐(III)四水合物  (+-)-4'-(4-(乙基庚基氨基)-1-羟基丁...  苄基beta-D-核吡喃糖苷三苯甲酸酯  二金氧化物  N-[9-[(2R,4S,5R)-4-羟基-5-(...  硫化金(I)  硫化金(III)  4-[(4-甲氧基苄亚基)氨基]苯甲腈  N-乙氧基甲基丙烯酰胺  3-O-(beta-吡喃葡萄糖基-(1-4)-be...