Online Database of Chemicals from Around the World

Didesacetylphyllanthostatin 3
[CAS# 132282-95-2]

Suppliers
CAS#: 132282-95-2
Product: Didesacetylphyllanthostatin 3
No suppilers available for the product.
Identification
Name Didesacetylphyllanthostatin 3
Synonyms [4,5-Dihydroxy-6-Methyl-3-(3,4,5-Trihydroxy-6-Methyl-Tetrahydropyran-2-Yl)Oxy-Tetrahydropyran-2-Yl] 3-Hydroxy-3-(Hydroxymethyl)-5'-Methyl-4'-[(E)-3-Phenylprop-2-Enoyl]Oxy-Spiro[3A,4,5,6,7,7A-Hexahydrobenzofuran-2,2'-Tetrahydropyran]-6-Carboxylate; 3-Hydroxy-3-(Hydroxymethyl)-5'-Methyl-4'-[(E)-1-Oxo-3-Phenylprop-2-Enoxy]-6-Spiro[3A,4,5,6,7,7A-Hexahydrobenzofuran-2,2'-Tetrahydropyran]Carboxylic Acid [4,5-Dihydroxy-6-Methyl-3-[(3,4,5-Trihydroxy-6-Methyl-2-Tetrahydropyranyl)Oxy]-2-Tetrahydropyranyl] Ester; 3-Hydroxy-5'-Methyl-3-Methylol-4'-[(E)-3-Phenylacryloyl]Oxy-Spiro[3A,4,5,6,7,7A-Hexahydrobenzofuran-2,2'-Tetrahydropyran]-6-Carboxylic Acid [4,5-Dihydroxy-6-Methyl-3-(3,4,5-Trihydroxy-6-Methyl-Tetrahydropyran-2-Yl)Oxy-Tetrahydropyran-2-Yl] Ester
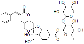
Molecular Structure CAS#: 132282-95-2, Didesacetylphyllanthostatin 3
Molecular Formula C36H50O16
Molecular Weight 738.78
CAS Registry Number 132282-95-2
SMILES C6=C(/C=C/C(OC1CC5(OCC1C)OC4CC(C(=O)OC3C(OC2C(C(C(C(O2)C)O)O)O)C(C(C(O3)C)O)O)CCC4C5(O)CO)=O)C=CC=C6
InChI 1S/C36H50O16/c1-17-15-46-36(14-24(17)49-25(38)12-9-20-7-5-4-6-8-20)35(45,16-37)22-11-10-21(13-23(22)52-36)32(44)51-34-31(29(42)27(40)19(3)48-34)50-33-30(43)28(41)26(39)18(2)47-33/h4-9,12,17-19,21-24,26-31,33-34,37,39-43,45H,10-11,13-16H2,1-3H3/b12-9+
InChIKey NFIKENQZHUEHDM-FMIVXFBMSA-N
Properties
Density 1.471g/cm3 (Cal.)
Boiling point 902.163°C at 760 mmHg (Cal.)
Flash point 277.091°C (Cal.)
Market Analysis Reports
List of Reports Available for Didesacetylphyllanthostatin 3
Related Products
3,4'-Dihydroxy-3-(Hydroxymethyl)-5'-Meth...  2-Propyl-1H-Indole  Tris(2-Phenylphenyl) Phosphate  4-Amino-5-P-Tolyl-4H-[1,2,4]Triazole-3-T...  4-Amino-3-Mercapto-5-(2-Chlorophenyl)-[1...  Locustapyrokinin  (3beta,9beta,10alpha,17alpha)--9,13-Dime...  3-[(2S,3R,4S,5R,6R)-3-[(2S,3R,4R)-3,4-Di...  2-(2,4-Dimethylpentan-3-Yloxy)Ethanol  2-Ethyl-4-Nitro-1H-Imidazole  1,2-Dimethyl-4-Nitro-1H-Imidazole  Ethyl 2-(2-Methyl-4-Nitro-Imidazol-1-Yl)...  N-(5-Ethyl-1,3,4-Thiadiazol-2-Yl)-2-Morp...  1-Allyl-2-Methyl-5-Nitro-1H-Imidazole  3-[(4-Nitro-2,1,3-Benzoxadiazol-7-Yl)Ami...