Online Database of Chemicals from Around the World

2-氨基苯甲酰-甘氨酰-甘氨酰-苯丙氨酰-亮氨酰-精氨酰-精氨酰-缬氨酰-N-(2,4-二硝基苯基)乙二胺
[CAS# 132472-84-5]

供应商
CAS#: 132472-84-5
产品: 2-氨基苯甲酰-甘氨酰-甘氨酰-苯丙氨酰-亮氨酰-精氨酰-精氨酰-缬氨酰-N-(2,4-二硝基苯基)乙二胺
暂时没有厂家供应该产品。
基本信息
产品名称 2-氨基苯甲酰-甘氨酰-甘氨酰-苯丙氨酰-亮氨酰-精氨酰-精氨酰-缬氨酰-N-(2,4-二硝基苯基)乙二胺
英文名 2-Aminobenzoyl-Glycyl-Glycyl-Phenylalanyl-Leucyl-Arginyl-Arginyl-Valyl-N-(2,4-Dinitrophenyl)Ethylenediamine
别名 Abz-G-G-F-L-R-R-V-Eddn; Abz-Gly-Gly-Phe-Leu-Arg-Arg-Val-Eddn; L-Valinamide, N-(2-Aminobenzoyl)Glycylglycyl-L-Phenylalanyl-L-Leucyl-L-Arginyl-L-Arginyl-N-(2-((2,4-Dinitrophenyl)Amino)Ethyl)-
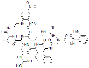
分子结构 CAS 登录号:132472-84-5, 2-氨基苯甲酰-甘氨酰-甘氨酰-苯丙氨酰-亮氨酰-精氨酰-精氨酰-缬氨酰-N-(2,4-二硝基苯基)乙二胺
分子式 C51H74N18O12
分子量 1131.26
CAS 登录号 132472-84-5
分子行输入简码 SMILES [C@H](C(=O)NC([C@@H](NC([C@@H](NC([C@@H](NC([C@@H](NC(CNC(CNC(C1=CC=CC=C1N)=O)=O)=O)CC2=CC=CC=C2)=O)CC(C)C)=O)CCCNC(=N)N)=O)CCCNC(=N)N)=O)(NCCNC3=CC=C(C=C3[N+](=O)[O-])[N+](=O)[O-])C(C)C
国际化学标识码 InChI 1S/C51H74N18O12/c1-29(2)24-38(66-48(76)39(25-31-12-6-5-7-13-31)63-42(71)28-61-41(70)27-62-44(72)33-14-8-9-15-34(33)52)47(75)65-36(16-10-20-59-50(53)54)45(73)64-37(17-11-21-60-51(55)56)46(74)67-49(77)43(30(3)4)58-23-22-57-35-19-18-32(68(78)79)26-40(35)69(80)81/h5-9,12-15,18-19,26,29-30,36-39,43,57-58H,10-11,16-17,20-25,27-28,52H2,1-4H3,(H,61,70)(H,62,72)(H,63,71)(H,64,73)(H,65,75)(H,66,76)(H4,53,54,59)(H4,55,56,60)(H,67,74,77)/t36-,37-,38-,39-,43-/m0/s1
国际化学标识检索码 InChIKey ZWDLLWSFJPFHEM-WWFQFRPWSA-N
物理化学性质
密度 1.44g/cm3 (计算值)
市场分析报告
请浏览2-氨基苯甲酰-甘氨酰-甘氨酰-苯丙氨酰-亮氨酰-精氨酰-精氨酰-缬氨酰-N-(2,4-二硝基苯基)乙二胺市场分析报告总目录
相关产品
(1S,2R)-2-氨基-环己-3-烯羧酸盐酸盐  beta-(4-吡啶基-1-氧化物)-4-丙氨酰-...  2,2-二氟-2-脱氧-肌醇1,4,5-三磷酸酯  2-脱氧-2-氟肌醇1,4,5-三磷酸酯  2-乙酰基氧基苯甲酸镁  2,3,4-三甲氧基-4'-乙酰基-1,1'-联苯  羧基粘康酸内酯  1,2,4-三苯基丁-2-烯-1,4-二酮  肉豆蔻基-甘氨酰-天冬氨酰精氨酰-异亮氨酰-苯丙氨...  [(4S,12Z)-18-羟基-4-甲基-2,8-...  二(4-甲基苄基)-硫醚  [[(6-甲基-2-吡啶基)氨基]亚甲基]丙二酸二...  4-羟基-7-甲基-1,8-萘啶-3-羧酸乙酯  二丁基碘甲烷硼酸酯  全氟-2,5,8,11,14-五甲基-3,6,9,...