Online Database of Chemicals from Around the World

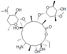
Erythromyclamine
[CAS# 13368-00-8]

供应商
CAS#: 13368-00-8
产品: Erythromyclamine
暂时没有厂家供应该产品。
基本信息
产品名称 Erythromyclamine
英文名 Erythromyclamine
别名 (3R,4S,5S,6R,7R,9R,11S,12R,13S,14R)-10-Amino-6-[(2S,3R,4S,6R)-4-Dimethylamino-3-Hydroxy-6-Methyl-Tetrahydropyran-2-Yl]Oxy-14-Ethyl-7,12,13-Trihydroxy-4-[(2R,4R,5S,6S)-5-Hydroxy-4-Methoxy-4,6-Dimethyl-Tetrahydropyran-2-Yl]Oxy-3,5,7,9,11,13-Hexamethyl-1-Oxacyclotetradecan-2-One; (3R,4S,5S,6R,7R,9R,11S,12R,13S,14R)-10-Amino-6-[[(2S,3R,4S,6R)-4-Dimethylamino-3-Hydroxy-6-Methyl-2-Tetrahydropyranyl]Oxy]-14-Ethyl-7,12,13-Trihydroxy-4-[[(2R,4R,5S,6S)-5-Hydroxy-4-Methoxy-4,6-Dimethyl-2-Tetrahydropyranyl]Oxy]-3,5,7,9,11,13-Hexamethyl-1-Oxacyclotetradecan-2-One; (3R,4S,5S,6R,7R,9R,11S,12R,13S,14R)-10-Amino-6-[(2S,3R,4S,6R)-4-Dimethylamino-3-Hydroxy-6-Methyl-Oxan-2-Yl]Oxy-14-Ethyl-7,12,13-Trihydroxy-4-[(2R,4R,5S,6S)-5-Hydroxy-4-Methoxy-4,6-Dimethyl-Oxan-2-Yl]Oxy-3,5,7,9,11,13-Hexamethyl-1-Oxacyclotetradecan-2-One
分子结构 CAS 登录号:13368-00-8, Erythromyclamine
分子式 C37H70N2O12
分子量 734.97
CAS 登录号 13368-00-8
分子行输入简码 SMILES [C@@H]3(O[C@@H]1O[C@@H](C[C@H](N(C)C)[C@H]1O)C)[C@H]([C@H](O[C@@H]2O[C@H]([C@H](O)[C@](OC)(C2)C)C)[C@H](C(O[C@@H]([C@@](O)([C@H](O)[C@H](C(N)[C@@H](C[C@]3(O)C)C)C)C)CC)=O)C)C
国际化学标识码 InChI 1S/C37H70N2O12/c1-14-25-37(10,45)30(41)20(4)27(38)18(2)16-35(8,44)32(51-34-28(40)24(39(11)12)15-19(3)47-34)21(5)29(22(6)33(43)49-25)50-26-17-36(9,46-13)31(42)23(7)48-26/h18-32,34,40-42,44-45H,14-17,38H2,1-13H3/t18-,19-,20+,21+,22-,23+,24+,25-,26+,27?,28-,29+,30-,31+,32-,34+,35-,36-,37-/m1/s1
国际化学标识检索码 InChIKey XCLJRCAJSCMIND-FRSXEBCHSA-N
物理化学性质
密度 1.196g/cm3 (计算值)
沸点 810.283°C at 760 mmHg (计算值)
闪点 443.843°C (计算值)
市场分析报告
请浏览Erythromyclamine市场分析报告总目录
相关产品
1-甲基-2-[(丙-2-炔基氨基)甲基]吲哚-5...  3-[(E)-4-(4-羟基苯基)己-3-烯-3-...  [(4R)-4-羟基-6-氧代-1-环己烯基]苯甲...  二(二甲基氨基)甲基乙烯基硅烷  (6R,7R)-7-[[(2Z)-(2-氨基-4-...  1-环戊烯-1,2-二甲酸二甲酯  甲基氰基脒醚  2-(4-丁烷-2-基苯氧基)-N,N-二甲基乙胺  (2S)-2-[(2,4-二硝基苯基)氨基]-3-...  (2Z,4E,6Z,8E)-9-[3-(2-羟基乙...  1-烯丙基-3,5-二甲基吡唑  (4-氯-2,5-二甲基苯氧基)乙酸  (2S)-2-[[3-羧基-3-羟基-5-[[(2...  2-羟基-4-[[(2S)-1-羟基-6-[羟基-...  2-羟基-2-[2-[[1-羟基-6-[羟基-[(...