Online Database of Chemicals from Around the World

(1S,2S,3S,6S,7R,9R)-9-{[Dimethyl(2-Methyl-2-Propanyl)Silyl]Oxy}-1,4,4-Trimethyl-11-Oxatricyclo[5.3.1.02,6]Undecan-3-Ol
[CAS# 134176-24-2]

Identification
Name (1S,2S,3S,6S,7R,9R)-9-{[Dimethyl(2-Methyl-2-Propanyl)Silyl]Oxy}-1,4,4-Trimethyl-11-Oxatricyclo[5.3.1.02,6]Undecan-3-Ol
Synonyms 1,4,4-Trimethyl-9-(tert-butyldimethylsilyloxy)-11-oxatricyclo(5.3.1.0(2,6))-undecan-3-ol; 1,4,4-Tsou
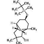
Molecular Structure CAS#: 134176-24-2, (1S,2S,3S,6S,7R,9R)-9-{[Dimethyl(2-Methyl-2-Propanyl)Silyl]Oxy}-1,4,4-Trimethyl-11-Oxatricyclo[5.3.1.0<Sup>2,6</Sup>]Undecan-3-Ol
Molecular Formula C19H36O3Si
Molecular Weight 340.57
CAS Registry Number 134176-24-2
SMILES O([Si](C(C)(C)C)(C)C)[C@H]3C[C@@]1(O[C@@H]([C@H]2CC([C@@H](O)[C@@H]12)(C)C)C3)C
InChI 1S/C19H36O3Si/c1-17(2,3)23(7,8)22-12-9-14-13-11-18(4,5)16(20)15(13)19(6,10-12)21-14/h12-16,20H,9-11H2,1-8H3/t12-,13-,14-,15+,16+,19+/m1/s1
InChIKey SSHVELVJONMEKY-IFVNRKHKSA-N
Properties
Density 1.019g/cm3 (Cal.)
Boiling point 381.675°C at 760 mmHg (Cal.)
Flash point 184.63°C (Cal.)
Refractive index 1.495 (Cal.)
Market Analysis Reports
List of Reports Available for (1S,2S,3S,6S,7R,9R)-9-{[Dimethyl(2-Methyl-2-Propanyl)Silyl]Oxy}-1,4,4-Trimethyl-11-Oxatricyclo[5.3.1.02,6]Undecan-3-Ol
Related Products
2,4,6,8-Henicosatetraenoic Acid  1,1,1,3,3-Pentachloro-3-Fluoropropane  1,1,3,3-Tetrachloro-1-Fluoropropane  3-Chloro-1,1,1,3-Tetrafluoropropane  1,3-Dichloro-1,1-Difluoropropane  1-Chloro-1,1-Difluoropropane  2-Hexadecanylbenzene  8-Hexadecanylbenzene  5-Formyl-3-Methyl-1H-Pyrrole-2-Carboxyli...  6,11-Diazatricyclo[5.4.0.0<Sup>4,8</Sup>...  7H-Thiochromeno[6,5-d][1,3]Thiazole  2-Methyl-1-Propanolate Zirconium Salt (4...  3-Ethynyl-1H-Indene  1-Ethoxy-2-Ethynylcyclohexene  (1S,4R)-4-Amino-2-Cyclopentene-1-Carboxy...