Online Database of Chemicals from Around the World

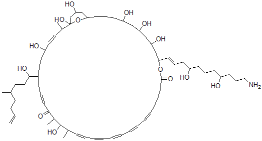
31-[(E)-11-氨基-4,8-二羟基十一碳-1-烯基]-1,5,14,33,35,37,43-七羟基-8-(1-羟基-4-甲基辛-7-烯基)-2,13,15-三甲基-30,45-二氧杂双环[39.3.1]四十五碳-3,10,16,18,20,22,24-七烯-12,29-二酮
[CAS# 134965-82-5]

供应商
CAS#: 134965-82-5
产品: 31-[(E)-11-氨基-4,8-二羟基十一碳-1-烯基]-1,5,14,33,35,37,43-七羟基-8-(1-羟基-4-甲基辛-7-烯基)-2,13,15-三甲基-30,45-二氧杂双环[39.3.1]四十五碳-3,10,16,18,20,22,24-七烯-12,29-二酮
暂时没有厂家供应该产品。
基本信息
产品名称 31-[(E)-11-氨基-4,8-二羟基十一碳-1-烯基]-1,5,14,33,35,37,43-七羟基-8-(1-羟基-4-甲基辛-7-烯基)-2,13,15-三甲基-30,45-二氧杂双环[39.3.1]四十五碳-3,10,16,18,20,22,24-七烯-12,29-二酮
英文名 31-[(E)-11-Amino-4,8-Dihydroxyundec-1-Enyl]-1,5,14,33,35,37,43-Heptahydroxy-8-(1-Hydroxy-4-Methyloct-7-Enyl)-2,13,15-Trimethyl-30,45-Dioxabicyclo[39.3.1]Pentatetraconta-3,10,16,18,20,22,24-Heptaene-12,29-Dione
别名 31-[(E)-11-Amino-4,8-Dihydroxy-Undec-1-Enyl]-1,5,14,33,35,37,43-Heptahydroxy-8-(1-Hydroxy-4-Methyl-Oct-7-Enyl)-2,13,15-Trimethyl-30,45-Dioxabicyclo[39.3.1]Pentatetraconta-3,10,16,18,20,22,24-Heptaene-12,29-Dione; 31-[(E)-11-Amino-4,8-Dihydroxy-Undec-1-Enyl]-1,5,14,33,35,37,43-Heptahydroxy-8-(1-Hydroxy-4-Methyl-Oct-7-Enyl)-2,13,15-Trimethyl-30,45-Dioxabicyclo[39.3.1]Pentatetraconta-3,10,16,18,20,22,24-Heptaene-12,29-Quinone; 12,45-Dioxabicyclo(39.3.1)Pentatetraconta-17,19,21,23,25,31,38-Heptaene-13,30-Dione, 11-(11-Amino-4,8-Dihydroxy-1-Undecenyl)-5,7,9,28,37,41,43-Heptahydroxy-34-(1-Hydroxy-4-Methyl-7-Octenyl)-27,29,40-Trimethyl-
分子结构 CAS 登录号:134965-82-5, 31-[(E)-11-氨基-4,8-二羟基十一碳-1-烯基]-1,5,14,33,35,37,43-七羟基-8-(1-羟基-4-甲基辛-7-烯基)-2,13,15-三甲基-30,45-二氧杂双环[39.3.1]四十五碳-3,10,16,18,20,22,24-七烯-12,29-二酮
分子式 C66H109NO14
分子量 1140.59
CAS 登录号 134965-82-5
分子行输入简码 SMILES C(C(O)C2CCC(O)\C=C/C(C1(OC(CC(O)C1)CCCC(O)CC(O)CC(O)CC(OC(=O)CCC\C=C/C=C\C=C/C=C\C=C/C(C(O)C(C(=O)\C=C/C2)C)C)\C=C\CC(O)CCCC(O)CCCN)O)C)CC(CCC=C)C
国际化学标识码 InChI 1S/C66H109NO14/c1-6-7-24-48(2)36-41-63(76)52-26-19-34-62(75)51(5)65(78)49(3)25-17-15-13-11-9-8-10-12-14-16-18-35-64(77)80-60(32-21-29-53(68)27-20-28-54(69)31-23-42-67)45-58(73)44-57(72)43-56(71)30-22-33-61-46-59(74)47-66(79,81-61)50(4)37-39-55(70)40-38-52/h6,8-15,17,19,21,25,32,34,37,39,48-61,63,65,68-74,76,78-79H,1,7,16,18,20,22-24,26-31,33,35-36,38,40-47,67H2,2-5H3/b10-8-,11-9-,14-12-,15-13-,25-17-,32-21+,34-19-,39-37-
国际化学标识检索码 InChIKey RBPHPIMLPIJVSD-VRWPSARBSA-N
物理化学性质
密度 1.084g/cm3 (计算值)
沸点 1186.385°C at 760 mmHg (计算值)
闪点 671.301°C (计算值)
市场分析报告
请浏览31-[(E)-11-氨基-4,8-二羟基十一碳-1-烯基]-1,5,14,33,35,37,43-七羟基-8-(1-羟基-4-甲基辛-7-烯基)-2,13,15-三甲基-30,45-二氧杂双环[39.3.1]四十五碳-3,10,16,18,20,22,24-七烯-12,29-二酮市场分析报告总目录
相关产品
(2S)-N-[[(2R,3S,4R,5R)-5-...  木防己叶酸  四丁基2,2'-[(二丁基锡烷亚基)二硫代]二琥珀...  5-乙基-1,3-二(羟基甲基)-1,3,5-三嗪...  Bastadin-12  4-羟基-7-甲氧基-2,3,8-三甲基-3-(4...  4-羟基-3-(1-羟基-4-甲基戊-3-烯基)-...  4-羟基-3-[(1E,3E)-5-羟基-4-甲基...  4-羟基-3-[(E)-5-羟基-4-甲基戊-3-...  4-羟基-3-(6-羟基-5-甲基-3,6-二氢-...  3-[1,5-二羟基-4-(羟基甲基)戊-3-烯基...  2-己基硫基-N-(6-甲硫基喹啉-5-基)癸烷酰...  5-(4-氯苯基)-2-(4-甲基苯基)磺酰基戊-...  [(2Z,6Z,10Z,14Z,18Z,22Z,2...  丹磺酰异环孢菌素A