Online Database of Chemicals from Around the World

(5E,9E,14E)-11-[(2R)-2-氨基-3-(羧甲基氨基)-3-氧代丙基]硫基-8,12-二羟基二十碳-5,9,14-三烯酸
[CAS# 135819-58-8]

供应商
CAS#: 135819-58-8
产品: (5E,9E,14E)-11-[(2R)-2-氨基-3-(羧甲基氨基)-3-氧代丙基]硫基-8,12-二羟基二十碳-5,9,14-三烯酸
暂时没有厂家供应该产品。
基本信息
产品名称 (5E,9E,14E)-11-[(2R)-2-氨基-3-(羧甲基氨基)-3-氧代丙基]硫基-8,12-二羟基二十碳-5,9,14-三烯酸
英文名 (5E,9E,14E)-11-[(2R)-2-Amino-3-(Carboxymethylamino)-3-Oxopropyl]Sulfanyl-8,12-Dihydroxyicosa-5,9,14-Trienoic Acid
别名 (5E,9E,14E)-11-[(2R)-2-Amino-3-(Carboxymethylamino)-3-Oxo-Propyl]Sulfanyl-8,12-Dihydroxy-Icosa-5,9,14-Trienoic Acid; (5E,9E,14E)-11-[[(2R)-2-Amino-3-(Carboxymethylamino)-3-Oxopropyl]Thio]-8,12-Dihydroxyicosa-5,9,14-Trienoic Acid; 2-[[(2R)-2-Amino-3-[[(2E,6E)-4,11-Dihydroxy-1-[(E)-1-Hydroxynon-3-Enyl]-11-Keto-Undeca-2,6-Dienyl]Thio]Propanoyl]Amino]Acetic Acid
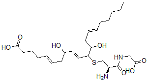
分子结构 CAS 登录号:135819-58-8, (5E,9E,14E)-11-[(2R)-2-氨基-3-(羧甲基氨基)-3-氧代丙基]硫基-8,12-二羟基二十碳-5,9,14-三烯酸
分子式 C25H42N2O7S
分子量 514.68
CAS 登录号 135819-58-8
分子行输入简码 SMILES [C@H](N)(CSC(C(O)C\C=C\CCCCC)\C=C\C(O)C\C=C\CCCC(=O)O)C(=O)NCC(=O)O
国际化学标识码 InChI 1S/C25H42N2O7S/c1-2-3-4-5-6-10-13-21(29)22(35-18-20(26)25(34)27-17-24(32)33)16-15-19(28)12-9-7-8-11-14-23(30)31/h6-7,9-10,15-16,19-22,28-29H,2-5,8,11-14,17-18,26H2,1H3,(H,27,34)(H,30,31)(H,32,33)/b9-7+,10-6+,16-15+/t19?,20-,21?,22?/m0/s1
国际化学标识检索码 InChIKey BIWALBLSFARGON-GHTRGEPCSA-N
物理化学性质
密度 1.193g/cm3 (计算值)
沸点 809.613°C at 760 mmHg (计算值)
闪点 443.438°C (计算值)
市场分析报告
请浏览(5E,9E,14E)-11-[(2R)-2-氨基-3-(羧甲基氨基)-3-氧代丙基]硫基-8,12-二羟基二十碳-5,9,14-三烯酸市场分析报告总目录
相关产品
棕榈酰根瘤菌素  苯基甲基(2S)-2-[[(2R)-1-甲氧基-1...  (1S,2S)-3-氨基-1-(2-氨基-3H-咪...  3,4-二氢-2H-4-苯并恶嗪-2-甲酰胺  (3,4-二甲氧基苯基)甲基肼  6-苯基-2-丙基-5,6-二氢咪唑并[2,1-b...  1-(3-碘苯基)吡咯-2,5-二酮  蕊木宁F  (E)-4,5-二氧代十六碳-2-烯酸  4-叔-丁基-2-甲基肉桂醛  钨酸铯  1-(2,3-二氢-1,4-苯并二氧杂环己-2-基...  千里光次酸  13-羟基巨大戟醇-3-(2,3-二甲基丁酸酯)-...  甲基3-甲基-2-(2-氧代-3-丙-2-基哌嗪-...