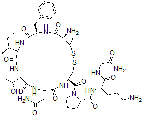
Identification
| Name |
1-(3-mercapto-L-valine)-2-D-phenylalanine-4-L-threonine-8-L-ornithine-Oxytocin |
| Synonyms |
(2S)-N-[(1S)-4-Amino-1-[(2-Amino-2-Oxo-Ethyl)Carbamoyl]Butyl]-1-[(4R,7S,10S,16R,19R)-19-Amino-7-(2-Amino-2-Oxo-Ethyl)-10-(1-Hydroxyethyl)-20,20-Dimethyl-6,9,12,15,18-Pentaoxo-16-(Phenylmethyl)-13-Sec-Butyl-1,2-Dithia-5,8,11,14,17-Pentazacycloicosane-4-Carbonyl]Pyrrolidine-2-Carboxamide; (2S)-N-[(1S)-4-Amino-1-[[(2-Amino-2-Oxoethyl)Amino]-Oxomethyl]Butyl]-1-[[(4R,7S,10S,16R,19R)-19-Amino-7-(2-Amino-2-Oxoethyl)-10-(1-Hydroxyethyl)-20,20-Dimethyl-6,9,12,15,18-Pentaoxo-16-(Phenylmethyl)-13-Sec-Butyl-1,2-Dithia-5,8,11,14,17-Pentazacycloicos-4-Yl]-Oxomethyl]-2-Pyrrolidinecarboxamide; (2S)-1-[(4R,7S,10S,16R,19R)-19-Amino-7-(2-Amino-2-Keto-Ethyl)-16-(Benzyl)-10-(1-Hydroxyethyl)-6,9,12,15,18-Pentaketo-20,20-Dimethyl-13-Sec-Butyl-1,2-Dithia-5,8,11,14,17-Pentazacycloicosane-4-Carbonyl]-N-[(1S)-4-Amino-1-[(2-Amino-2-Keto-Ethyl)Carbamoyl]Butyl]Pyrrolidine-2-Carboxamide |
|
| Molecular Structure |
 |
| Molecular Formula |
C43H68N12O11S2 |
| Molecular Weight |
993.20 |
| CAS Registry Number |
136429-81-7 |
| SMILES |
[C@H]1(NC(=O)C(NC(=O)[C@H](NC(=O)[C@@H](N)C(SSC[C@H](NC(=O)[C@@H](NC1=O)CC(=O)N)C(=O)N2[C@H](C(=O)N[C@H](C(=O)NCC(=O)N)CCCN)CCC2)(C)C)CC3=CC=CC=C3)[C@H](CC)C)[C@H](O)C |
| InChI |
1S/C43H68N12O11S2/c1-6-22(2)32-39(63)54-33(23(3)56)40(64)50-27(19-30(45)57)36(60)52-28(42(66)55-17-11-15-29(55)38(62)49-25(14-10-16-44)35(59)48-20-31(46)58)21-67-68-43(4,5)34(47)41(65)51-26(37(61)53-32)18-24-12-8-7-9-13-24/h7-9,12-13,22-23,25-29,32-34,56H,6,10-11,14-21,44,47H2,1-5H3,(H2,45,57)(H2,46,58)(H,48,59)(H,49,62)(H,50,64)(H,51,65)(H,52,60)(H,53,61)(H,54,63)/t22-,23+,25-,26+,27-,28-,29-,32?,33-,34+/m0/s1 |
| InChIKey |
WQFIVHQRSCEQQW-IHHZODIZSA-N |
|