Online Database of Chemicals from Around the World

Digoxigenin-11-2',3'-dideoxyuridine 5'-triphosphate
[CAS# 137067-07-3]

Suppliers
CAS#: 137067-07-3
Product: Digoxigenin-11-2',3'-dideoxyuridine 5'-triphosphate
No suppilers available for the product.
Identification
Name Digoxigenin-11-2',3'-dideoxyuridine 5'-triphosphate
Synonyms [(5R)-5-[5-[(E)-3-[6-[[2-[[(3S,5R,8R,9S,10S,12R,13S,17R)-12,14-Dihydroxy-10,13-Dimethyl-17-(5-Oxo-2H-Furan-3-Yl)-1,2,3,4,5,6,7,8,9,11,12,15,16,17-Tetradecahydrocyclopenta[A]Phenanthren-3-Yl]Oxy]Acetyl]Amino]Hexanoylamino]Prop-1-Enyl]-2,4-Dioxo-Pyrimidin-1-Yl]Tetrahydrofuran-2-Yl]Methyl (Hydroxy-Phosphonooxy-Phosphoryl) Hydrogen Phosphate; [(5R)-5-[5-[(E)-3-[[6-[[2-[[(3S,5R,8R,9S,10S,12R,13S,17R)-12,14-Dihydroxy-10,13-Dimethyl-17-(5-Oxo-2H-Furan-3-Yl)-1,2,3,4,5,6,7,8,9,11,12,15,16,17-Tetradecahydrocyclopenta[A]Phenanthren-3-Yl]Oxy]-1-Oxoethyl]Amino]-1-Oxohexyl]Amino]Prop-1-Enyl]-2,4-Dioxo-1-Pyrimidinyl]-2-Tetrahydrofuranyl]Methyl (Hydroxy-Phosphonooxyphosphoryl) Hydrogen Phosphate; [(5R)-5-[5-[(E)-3-[6-[[2-[[(3S,5R,8R,9S,10S,12R,13S,17R)-12,14-Dihydroxy-17-(5-Keto-2H-Furan-3-Yl)-10,13-Dimethyl-1,2,3,4,5,6,7,8,9,11,12,15,16,17-Tetradecahydrocyclopenta[A]Phenanthren-3-Yl]Oxy]Acetyl]Amino]Hexanoylamino]Prop-1-Enyl]-2,4-Diketo-Pyrimidin-1-Yl]Tetrahydrofuran-2-Yl]Methyl (Hydroxy-Phosphonooxy-Phosphoryl) Hydrogen Phosphate
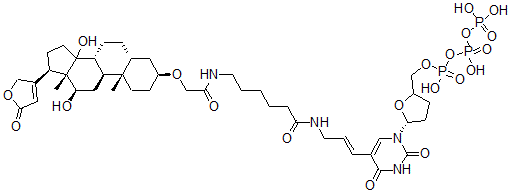
Molecular Structure CAS#: 137067-07-3, Digoxigenin-11-2',3'-dideoxyuridine 5'-triphosphate
Molecular Formula C43H65N4O20P3
Molecular Weight 1050.92
CAS Registry Number 137067-07-3
SMILES [C@H]15[C@@H]([C@@]4([C@H](CC1)C[C@@H](OCC(=O)NCCCCCC(=O)NC/C=C/C3=CN([C@@H]2OC(CC2)CO[P](O[P](O[P](=O)(O)O)(=O)O)(=O)O)C(=O)NC3=O)CC4)C)C[C@@H](O)[C@]6(C5(O)CC[C@@H]6C7=CC(OC7)=O)C
InChI 1S/C43H65N4O20P3/c1-41-15-13-29(20-28(41)9-11-32-33(41)21-34(48)42(2)31(14-16-43(32,42)54)27-19-38(51)63-23-27)62-25-36(50)45-17-5-3-4-8-35(49)44-18-6-7-26-22-47(40(53)46-39(26)52)37-12-10-30(65-37)24-64-69(58,59)67-70(60,61)66-68(55,56)57/h6-7,19,22,28-34,37,48,54H,3-5,8-18,20-21,23-25H2,1-2H3,(H,44,49)(H,45,50)(H,58,59)(H,60,61)(H,46,52,53)(H2,55,56,57)/b7-6+/t28-,29+,30?,31-,32-,33+,34-,37-,41+,42+,43?/m1/s1
InChIKey OWVSQLKZFJFIEL-BCCCVJHXSA-N
Properties
Density 1.529g/cm3 (Cal.)
Market Analysis Reports
List of Reports Available for Digoxigenin-11-2',3'-dideoxyuridine 5'-triphosphate
Related Products
Heptane-3,4-Dione  Potassium 2-Biphenylate  Alprenolol Hydrochloride  1-(4-Allylphenoxy)-3-(Isopropylamino)-2-...  Biotin-lys-tyr-gly-gly-gly-gly-gly-gly-a...  3-(Butanoylamino)Benzamide  [(E,3S)-1-(2,6,6-Trimethyl-1-Cyclohexeny...  Barium Zirconium Silicate (1:1:3)  Phosphonic Acid Disodium Salt  (E)-N-[2-(2-Cyclohexylethylsulfanyl)Ethy...  (E)-Icos-11-En-14-Ynoic Acid  5-Carbamoylsulfanyl-2-Nitrobenzoic Acid  Bisnoryangonin  Sulphurmonofluoride  Xenon Difluoride