Online Database of Chemicals from Around the World

2-甲基-N-[2-(1-哌嗪基)乙基]-2-丙烯-1-胺
[CAS# 137554-23-5]

供应商
深圳爱拓化学有限公司 中国 询价快递  
+86 13417589054//+86 13424336463
info@atomaxchem.com,atomax.chemicals@gmail.com,
QQ 交流
化学品生产商
International Laboratory Limited 美国 询价快递  
+1 (650) 278-9963
admin@intlab.org
化学品生产商(2002 年起)
基本信息
产品名称 2-甲基-N-[2-(1-哌嗪基)乙基]-2-丙烯-1-胺
英文名 2-Methyl-N-[2-(1-Piperazinyl)Ethyl]-2-Propen-1-Amine
别名 1-Piperazineethanamine, N-(2-methyl-2-propen-1-yl)-; 2-methyl-N-(2-(piperazin-1-yl)ethyl)prop-2-en-1-amine
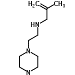
分子结构 CAS 登录号:137554-23-5, 2-甲基-N-[2-(1-哌嗪基)乙基]-2-丙烯-1-胺
分子式 C10H21N3
分子量 183.29
CAS 登录号 137554-23-5
分子行输入简码 SMILES CC(=C)CNCCN1CCNCC1
国际化学标识码 InChI 1S/C10H21N3/c1-10(2)9-12-5-8-13-6-3-11-4-7-13/h11-12H,1,3-9H2,2H3
国际化学标识检索码 InChIKey BAOYKPCVNRYPQC-UHFFFAOYSA-N
物理化学性质
密度 0.9±0.1g/cm3 (计算值)
沸点 279.8±25.0°C at 760 mmHg (计算值)
闪点 127.7±17.8°C (计算值)
折射率 1.473 (计算值)
市场分析报告
请浏览2-甲基-N-[2-(1-哌嗪基)乙基]-2-丙烯-1-胺市场分析报告总目录
相关产品
甲基N-(乙氧羰基)甘氨酸酯  L-alpha-天冬氨酰-L-赖氨酰-L-苯丙氨酰...  甲基3-[(苯基硫基)甲基]苯甲酸酯  3,4,6-三甲基-1,2-苯二酚  5,7-二羟基-2,2-二甲基-4H-1,3-苯并...  2-甲基-1-(2-硫代-1,3-恶唑烷-3-基)...  (2S,8aR)-2-乙氧基二氢-5H-[1,3]...  (2R,8aR)-2-乙氧基二氢-5H-[1,3]...  1,3-二异丙基-4,5-二氢-1H-咪唑-3-鎓...  1,3-二(2-甲基-2-丙基)-4,5-二氢-1...  N-(2-嘧啶基)-1,2-乙二胺  1-(2-氯苯基)-3-(二氨基亚甲基)胍  镁钾2-羟基-1,2,3-丙烷三羧酸酯(1:1:1...  3-(1H-吲哚-3-基)-4-{1-[3-(1-...  6-氟-3-甲基喹啉