Online Database of Chemicals from Around the World

Lhrh, Lysine(6)-Glutaryl-2-(Hydroxymethyl)Anthraquinone
[CAS# 139570-70-0]

Suppliers
CAS#: 139570-70-0
Product: Lhrh, Lysine(6)-Glutaryl-2-(Hydroxymethyl)Anthraquinone
No suppilers available for the product.
Identification
Name Lhrh, Lysine(6)-Glutaryl-2-(Hydroxymethyl)Anthraquinone
Synonyms Luteinizing Hormone-Releasing Factor (Pig), 6-(N6-(5-((9,10-Dihydro-9,10-Dioxo-2-Anthracenyl)Methoxy)-1,5-Dioxopentyl)-D-Lysine)-; Lys(6)Lhrh-Glutaryl-2-(Hydroxymethyl)Anthraquinone; T 98
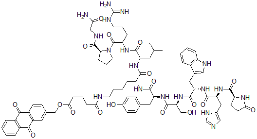
Molecular Structure CAS#: 139570-70-0, Lhrh, Lysine(6)-Glutaryl-2-(Hydroxymethyl)Anthraquinone
Molecular Formula C79H98N18O18
Molecular Weight 1587.75
CAS Registry Number 139570-70-0
SMILES [C@H](CCCCNC(CCCC(OCC3=CC1=C(C(C2=C(C1=O)C=CC=C2)=O)C=C3)=O)=O)(NC([C@H](CC4=CC=C(O)C=C4)NC([C@@H](NC([C@H](CC5=C[NH]C6=C5C=CC=C6)NC([C@H](CC7=CN=C[NH]7)NC([C@@H]8CCC(N8)=O)=O)=O)=O)CO)=O)=O)C(N[C@H](C(N[C@H](C(N9[C@@H](CCC9)C(NCC(N)=O)=O)=O)CCCNC(N)=N)=O)CC(C)C)=O
InChI 1S/C79H98N18O18/c1-43(2)32-58(72(108)91-57(17-10-30-85-79(81)82)78(114)97-31-11-18-63(97)77(113)87-39-64(80)100)92-70(106)55(16-7-8-29-84-65(101)19-9-20-67(103)115-41-45-23-26-52-53(33-45)69(105)51-14-4-3-13-50(51)68(52)104)90-73(109)59(34-44-21-24-48(99)25-22-44)93-76(112)62(40-98)96-74(110)60(35-46-37-86-54-15-6-5-12-49(46)54)94-75(111)61(36-47-38-83-42-88-47)95-71(107)56-27-28-66(102)89-56/h3-6,12-15,21-26,33,37-38,42-43,55-63,86,98-99H,7-11,16-20,27-32,34-36,39-41H2,1-2H3,(H2,80,100)(H,83,88)(H,84,101)(H,87,113)(H,89,102)(H,90,109)(H,91,108)(H,92,106)(H,93,112)(H,94,111)(H,95,107)(H,96,110)(H4,81,82,85)/t55-,56+,57+,58+,59+,60+,61+,62+,63+/m1/s1
InChIKey BSKOWQLQBJGVOI-ZCPJTSLXSA-N
Properties
Density 1.49g/cm3 (Cal.)
Market Analysis Reports
List of Reports Available for Lhrh, Lysine(6)-Glutaryl-2-(Hydroxymethyl)Anthraquinone
Related Products
5-[(9,10-Dioxoanthracen-2-Yl)Methoxy]-5-...  Leptodactyline  4-[3-Amino-1-(4-Hydroxyphenyl)Butyl]-2-M...  Meladrazine  Hydrobentizide  Oxiramide  4-(Acetyloxy)-6-Methyl-2(1H)-Pyridinone  [(Z)-3-(3-Chloro-4-Cyclohexylphenyl)Prop...  3-(2-Chloroethoxymethyl)-5-Fluoro-1H-Pyr...  3-(6-Chlorohexoxymethyl)-5-Fluoro-1H-Pyr...  3-[2-(2-Chloroethoxy)Ethoxymethyl]-5-Flu...  (125I)-5-Iodo-6-Nitro-2-Piperazinylquino...  2,4-Divinylpyridine  Amphidinolide F  (E)-4-[2-[4-[(4E,6E,14E,16Z)-11-Ethyl-10...