Online Database of Chemicals from Around the World

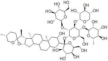
3-O-((吡喃鼠李糖基-(1-3)-吡喃木糖基-(1-2)-)(吡喃葡萄糖基-(1-3))-吡喃葡萄糖基-(1-3)-吡喃葡萄糖基)螺甾烷-2,3-二醇
[CAS# 139979-76-3]

供应商
CAS#: 139979-76-3
产品: 3-O-((吡喃鼠李糖基-(1-3)-吡喃木糖基-(1-2)-)(吡喃葡萄糖基-(1-3))-吡喃葡萄糖基-(1-3)-吡喃葡萄糖基)螺甾烷-2,3-二醇
暂时没有厂家供应该产品。
基本信息
产品名称 3-O-((吡喃鼠李糖基-(1-3)-吡喃木糖基-(1-2)-)(吡喃葡萄糖基-(1-3))-吡喃葡萄糖基-(1-3)-吡喃葡萄糖基)螺甾烷-2,3-二醇
英文名 3-O-((Rhamnopyranosyl-(1-3)-Xylopyranosyl-(1-2)-)(Glucopyranosyl-(1-3))-Glucopyranosyl-(1-3)-Glucopyranosyl)Spirostan-2,3-Diol
别名 3-Rxgsd; Beta-D-Glucopyranoside, (2Alpha,3Beta,5Alpha,25R)-2-Hydroxyspirostan-3-Yl O-6-Deoxy-Alpha-L-Mannopyranosyl-(1-3)-O-Beta-D-Xylopyranosyl-(1-2)-O-(Beta-D-Glucopyranosyl-(1-3))-Beta-D-Glucopyranosyl-(1-3)-
分子结构 CAS 登录号:139979-76-3, 3-O-((吡喃鼠李糖基-(1-3)-吡喃木糖基-(1-2)-)(吡喃葡萄糖基-(1-3))-吡喃葡萄糖基-(1-3)-吡喃葡萄糖基)螺甾烷-2,3-二醇
分子式 C56H92O27
分子量 1197.33
CAS 登录号 139979-76-3
分子行输入简码 SMILES [C@@H]23[C@@H](OC1(OC[C@@H](CC1)C)[C@H]2C)CC4[C@@]3(CCC5C4CCC6[C@@]5(CC(O)C(C6)[C@@]7(O[C@H]([C@@H](O)[C@H](O)[C@H]7O)CO)O[C@H]%10O[C@@H]([C@@H](O[C@@H]8O[C@H]([C@H](O)[C@@H](O)[C@H]8O)C)[C@H](O[C@H]9OC[C@@H](O)[C@H](O)[C@H]9O)[C@H]%10O[C@@H]%11O[C@@H]([C@@H](O)[C@H](O)[C@H]%11O)CO)CO)C)C
国际化学标识码 InChI 1S/C56H92O27/c1-20-8-11-55(74-18-20)21(2)34-30(81-55)13-26-24-7-6-23-12-27(28(60)14-54(23,5)25(24)9-10-53(26,34)4)56(48(72)41(68)38(65)32(16-58)82-56)83-52-47(80-51-44(71)40(67)37(64)31(15-57)76-51)46(79-49-42(69)36(63)29(61)19-73-49)45(33(17-59)77-52)78-50-43(70)39(66)35(62)22(3)75-50/h20-52,57-72H,6-19H2,1-5H3/t20-,21+,22+,23?,24?,25?,26?,27?,28?,29-,30+,31-,32+,33-,34+,35+,36+,37-,38-,39-,40+,41+,42-,43-,44-,45-,46+,47-,48-,49-,50+,51+,52-,53+,54+,55?,56-/m1/s1
国际化学标识检索码 InChIKey KADIFLZXWRELEB-VSVOSOTASA-N
物理化学性质
密度 1.557g/cm3 (计算值)
市场分析报告
请浏览3-O-((吡喃鼠李糖基-(1-3)-吡喃木糖基-(1-2)-)(吡喃葡萄糖基-(1-3))-吡喃葡萄糖基-(1-3)-吡喃葡萄糖基)螺甾烷-2,3-二醇市场分析报告总目录
相关产品
N,N'-(亚氨基二丙烷-1,3-二基)二硬脂酰胺  (甲基亚胺)二乙烷-1,2-二基二硬脂酸酯  1-甲基9-(磺基氧基)硬脂酸钠  3-(叔-丁基氨基)-5-甲基异恶唑  2-甲脒基-1,2,3,4,10,14b-六氢二苯...  1-丙基10-(磺基氧基)硬脂酸钠  二磷酸酯  狗角藤苷  苦苏毒素  3-羟基-1-甲基黄嘌呤  (二甲基氨基)甲醇  次氮基三-甲醇  4,6-二甲基-2-苯并吡喃酮  乙基2-氰基-2-[3-(氰基-乙氧羰基-甲基)-...  2-(喹啉-4-基)乙腈