Online Database of Chemicals from Around the World

Viridofulvin
[CAS# 1405-00-1]

Suppliers
BOC Sciences USA Inquire  
+1 (631) 485-4226
info@bocsci.com
Skype Chat
Chemical distributor
chemBlink massive supplier since 2012
Identification
Name Viridofulvin
Synonyms Viridofulvin [Usan:Inn]
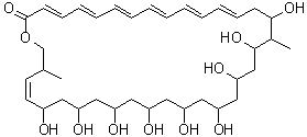
Molecular Structure CAS#: 1405-00-1, Viridofulvin
Molecular Formula C37H58O11
Molecular Weight 678.86
CAS Registry Number 1405-00-1
SMILES CC1C(O)CC(O)CC(O)CC(O)CC(O)CC(O)CC(O)CC(O)\C=C/C(COC(=O)/C=C/C=C/C=C/C=C/C=C/C=C/CC1O)C
InChI 1S/C37H58O11/c1-26-16-17-28(38)18-29(39)19-30(40)20-31(41)21-32(42)22-33(43)23-34(44)24-36(46)27(2)35(45)14-12-10-8-6-4-3-5-7-9-11-13-15-37(47)48-25-26/h3-13,15-17,26-36,38-46H,14,18-25H2,1-2H3/b4-3+,7-5+,8-6+,11-9+,12-10+,15-13+,17-16-
InChIKey BWKABGFZYLDQRM-UYENRZAWSA-N
Properties
Density 1.1±0.1g/cm3 (Cal.)
Boiling point 947.8±65.0°C at 760 mmHg (Cal.)
Flash point 287.6±27.8°C (Cal.)
Market Analysis Reports
List of Reports Available for Viridofulvin
Related Products
N,N'-1,4-Phenylenebis-Acetamide  3-Phenyl-1'-(Phenylmethyl)-[3,4'-Bipiper...  1-Bromo-2,3,5,6-Tetrafluoro-4-(Pentafluo...  4-Methoxy-Benzeneacetic Acid Ethyl Ester  2-Furancarboxaldehyde, 2,2-Dimethylhydra...  Chloroprednisone 21-Acetate  Titanium  Tocopheryl Acetate  N-[2-(2-Iodo-5-Methoxy-1H-Indol-3-Yl)Eth...  N-Benzoyl-3'-O-[Bis(4-Methoxyphenyl)Phen...  N-[5-[Bis(2-Hydroxyethyl)Amino]-2-[(2-Br...  (2S,5R)-5-Methyl-2-(1-Methylethyl)-Cyclo...  1,4-Dinitroso-Piperazine  4-Hydrazinyl-Thieno[2,3-d]Pyrimidine  Aminopotentidine