Online Database of Chemicals from Around the World

(E)-4-[2,8-二羟基-9-[(4E,6E,12E,14E)-10-羟基-3,15-二甲氧基-7,9,11,13-四甲基-16-氧代-1-氧杂环十六碳-4,6,12,14-四烯-2-基]-3,7-二甲基-6-氧代癸烷-4-基]氧基-4-氧代丁-2-烯酸
[CAS# 142386-68-3]

供应商
CAS#: 142386-68-3
产品: (E)-4-[2,8-二羟基-9-[(4E,6E,12E,14E)-10-羟基-3,15-二甲氧基-7,9,11,13-四甲基-16-氧代-1-氧杂环十六碳-4,6,12,14-四烯-2-基]-3,7-二甲基-6-氧代癸烷-4-基]氧基-4-氧代丁-2-烯酸
暂时没有厂家供应该产品。
基本信息
产品名称 (E)-4-[2,8-二羟基-9-[(4E,6E,12E,14E)-10-羟基-3,15-二甲氧基-7,9,11,13-四甲基-16-氧代-1-氧杂环十六碳-4,6,12,14-四烯-2-基]-3,7-二甲基-6-氧代癸烷-4-基]氧基-4-氧代丁-2-烯酸
英文名 (E)-4-[2,8-Dihydroxy-9-[(4E,6E,12E,14E)-10-Hydroxy-3,15-Dimethoxy-7,9,11,13-Tetramethyl-16-Oxo-1-Oxacyclohexadeca-4,6,12,14-Tetraen-2-Yl]-3,7-Dimethyl-6-Oxodecan-4-Yl]Oxy-4-Oxobut-2-Enoic Acid
别名 (E)-4-[2,8-Dihydroxy-9-[(4Z,6E,12E,14E)-10-Hydroxy-3,15-Dimethoxy-7,9,11,13-Tetramethyl-16-Oxo-1-Oxacyclohexadeca-4,6,12,14-Tetraen-2-Yl]-3,7-Dimethyl-6-Oxodecan-4-Yl]Oxy-4-Oxobut-2-Enoic Acid; (E)-4-[5-Hydroxy-6-[(4E,6E,12E,14E)-10-Hydroxy-3,15-Dimethoxy-7,9,11,13-Tetramethyl-16-Oxo-1-Oxacyclohexadeca-4,6,12,14-Tetraen-2-Yl]-1-(2-Hydroxy-1-Methyl-Propyl)-4-Methyl-3-Oxo-Heptoxy]-4-Oxo-But-2-Enoic Acid; (E)-4-[5-Hydroxy-6-[(4Z,6E,12E,14E)-10-Hydroxy-3,15-Dimethoxy-7,9,11,13-Tetramethyl-16-Oxo-1-Oxacyclohexadeca-4,6,12,14-Tetraen-2-Yl]-1-(2-Hydroxy-1-Methyl-Propyl)-4-Methyl-3-Oxo-Heptoxy]-4-Oxo-But-2-Enoic Acid
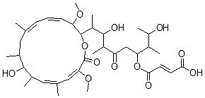
分子结构 CAS 登录号:142386-68-3, (E)-4-[2,8-二羟基-9-[(4E,6E,12E,14E)-10-羟基-3,15-二甲氧基-7,9,11,13-四甲基-16-氧代-1-氧杂环十六碳-4,6,12,14-四烯-2-基]-3,7-二甲基-6-氧代癸烷-4-基]氧基-4-氧代丁-2-烯酸
分子式 C37H56O12
分子量 692.84
CAS 登录号 142386-68-3
分子行输入简码 SMILES C(C(=O)C(C(O)C(C1OC(=O)C(=C/C(=C/C(C(O)C(CC(=C/C=C/C1OC)/C)C)C)C)\OC)C)C)C(OC(=O)\C=C\C(O)=O)C(C(O)C)C
国际化学标识码 InChI 1S/C37H56O12/c1-20-12-11-13-29(46-9)36(49-37(45)31(47-10)18-21(2)17-23(4)34(43)22(3)16-20)26(7)35(44)25(6)28(39)19-30(24(5)27(8)38)48-33(42)15-14-32(40)41/h11-15,17-18,22-27,29-30,34-36,38,43-44H,16,19H2,1-10H3,(H,40,41)/b13-11+,15-14+,20-12+,21-17+,31-18+
国际化学标识检索码 InChIKey VJPUXUDFGGBXQF-FLYJGUFZSA-N
市场分析报告
请浏览(E)-4-[2,8-二羟基-9-[(4E,6E,12E,14E)-10-羟基-3,15-二甲氧基-7,9,11,13-四甲基-16-氧代-1-氧杂环十六碳-4,6,12,14-四烯-2-基]-3,7-二甲基-6-氧代癸烷-4-基]氧基-4-氧代丁-2-烯酸市场分析报告总目录
相关产品
(E)-4-[2-[3-羟基-4-[(4E,6E,...  4,4'-联苯基二重氮氟硼酸酯  11-(3-氨基-4-羟基-4-氧代丁酰基)-5-...  二氯二(硫脲-S)锌  雌甾-1,3,5,7,9-五烯-3,17beta-...  反式-二硝基二(乙二胺)钴  16-beta-甲基-4-孕烯-3,20-二酮  N,N'-二苄基硫脲  (2S)-2-氨基-4-(2,3-二羟基丙基氨基)...  1-环己烯基乙酸酯  乙酰唑胺钠  N-[(3S,4S,4aS,5R)-3-(二氯甲基...  (2S,4S,5R,6R)-5-乙酰氨基-2-[(...  2-[[(1R)-2-(二(羧甲基)氨基)环己基]...  三乙基膦金硝酸盐