Online Database of Chemicals from Around the World

(2S)-2,4-Diamino-N-[(3S,6S,9S,12S,15R,18S,21S)-6,9,18-Tris(2-Aminoethyl)-15-Benzyl-3-(1-Hydroxyethyl)-12-(2-Methylpropyl)-2,5,8,11,14,17,20-Heptaoxo-1,4,7,10,13,16,19-Heptazacyclotricos-21-Yl]Butanamide sulfate
[CAS# 142563-39-1]

Suppliers
CAS#: 142563-39-1
Product: (2S)-2,4-Diamino-N-[(3S,6S,9S,12S,15R,18S,21S)-6,9,18-Tris(2-Aminoethyl)-15-Benzyl-3-(1-Hydroxyethyl)-12-(2-Methylpropyl)-2,5,8,11,14,17,20-Heptaoxo-1,4,7,10,13,16,19-Heptazacyclotricos-21-Yl]Butanamide sulfate
No suppilers available for the product.
Identification
Name (2S)-2,4-Diamino-N-[(3S,6S,9S,12S,15R,18S,21S)-6,9,18-Tris(2-Aminoethyl)-15-Benzyl-3-(1-Hydroxyethyl)-12-(2-Methylpropyl)-2,5,8,11,14,17,20-Heptaoxo-1,4,7,10,13,16,19-Heptazacyclotricos-21-Yl]Butanamide sulfate
Synonyms (2S)-2,4-Diamino-N-[(3S,6S,9S,12S,15R,18S,21S)-6,9,18-Tris(2-Aminoethyl)-15-Benzyl-3-(1-Hydroxyethyl)-12-Isobutyl-2,5,8,11,14,17,20-Heptaoxo-1,4,7,10,13,16,19-Heptazacyclotricos-21-Yl]Butanamide; Sulfuric Acid; (2S)-2,4-Diamino-N-[(3S,6S,9S,12S,15R,18S,21S)-6,9,18-Tris(2-Aminoethyl)-15-Benzyl-3-(1-Hydroxyethyl)-12-Isobutyl-2,5,8,11,14,17,20-Heptaketo-1,4,7,10,13,16,19-Heptazacyclotricos-21-Yl]Butyramide; Sulfuric Acid; (2S)-2,4-Diamino-N-[(3S,6S,9S,12S,15R,18S,21S)-6,9,18-Tris(2-Aminoethyl)-3-(1-Hydroxyethyl)-12-(2-Methylpropyl)-2,5,8,11,14,17,20-Heptaoxo-15-(Phenylmethyl)-1,4,7,10,13,16,19-Heptazacyclotricos-21-Yl]Butanamide; Sulfuric Acid
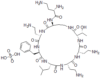
Molecular Structure CAS#: 142563-39-1, (2S)-2,4-Diamino-N-[(3S,6S,9S,12S,15R,18S,21S)-6,9,18-Tris(2-Aminoethyl)-15-Benzyl-3-(1-Hydroxyethyl)-12-(2-Methylpropyl)-2,5,8,11,14,17,20-Heptaoxo-1,4,7,10,13,16,19-Heptazacyclotricos-21-Yl]Butanamide sulfate
Molecular Formula C39H69N13O13S
Molecular Weight 960.11
CAS Registry Number 142563-39-1
SMILES [C@H]1(NC(=O)[C@@H](NC(=O)[C@@H](NC(=O)[C@@H](NC(=O)[C@H](NC(=O)[C@@H](NC(=O)[C@@H](NC(=O)[C@@H](N)CCN)CCNC1=O)CCN)CC2=CC=CC=C2)CC(C)C)CCN)CCN)[C@H](O)C.O=[S](=O)(O)O
InChI 1S/C39H67N13O9.H2O4S/c1-21(2)19-29-37(59)49-25(10-15-41)33(55)48-27(12-17-43)36(58)52-31(22(3)53)39(61)45-18-13-28(46-32(54)24(44)9-14-40)35(57)47-26(11-16-42)34(56)51-30(38(60)50-29)20-23-7-5-4-6-8-23;1-5(2,3)4/h4-8,21-22,24-31,53H,9-20,40-44H2,1-3H3,(H,45,61)(H,46,54)(H,47,57)(H,48,55)(H,49,59)(H,50,60)(H,51,56)(H,52,58);(H2,1,2,3,4)/t22-,24+,25+,26+,27+,28+,29+,30-,31+;/m1./s1
InChIKey UMTAIVDIVJJTAV-NEOBPPNMSA-N
Market Analysis Reports
List of Reports Available for (2S)-2,4-Diamino-N-[(3S,6S,9S,12S,15R,18S,21S)-6,9,18-Tris(2-Aminoethyl)-15-Benzyl-3-(1-Hydroxyethyl)-12-(2-Methylpropyl)-2,5,8,11,14,17,20-Heptaoxo-1,4,7,10,13,16,19-Heptazacyclotricos-21-Yl]Butanamide sulfate
Related Products
21-Amino-6,9,18-Tris(2-Aminoethyl)-15-Be...  (1-Pyridin-2-Ylethylideneamino)Thiourea  (4S)-4-Amino-5-[[(2R)-1-(Carboxymethylam...  6-Carboxy-4-Nitroquinoline1-Oxide  3-Methoxy-4-[(2S,3R,4S,5S,6R)-3,4,5-Trih...  Pentyl Oleate  Trimethyl-[(13S,17S)-13-Methyl-3-[2-(1-M...  1-(Diphenylmethyl)-4-Phenylpiperazine  Oxalic Acid Ammonium Salt  N-(2-Hydroxyethyl)Myristamide  Lithium-6  3beta-[(2,6-Dideoxy-3-O-Methyl-beta-D-Ly...  5'-Deoxy-5'-Iodouridine  7-(Diaminomethylideneamino)Heptyl 2-Amin...  Leucyl-seryl-prolyl-phenylalanyl-prolyl-...