Online Database of Chemicals from Around the World

Melandrioside A
[CAS# 142628-19-1]

Suppliers
CAS#: 142628-19-1
Product: Melandrioside A
No suppilers available for the product.
Identification
Name Melandrioside A
Synonyms 6-[(4-Formyl-10-Hydroxy-4,6A,6B,11,11,14B-Hexamethyl-8-Oxo-1,2,3,4A,5,6,7,8A,9,10,12,12A,14,14A-Tetradecahydropicen-3-Yl)Oxy]-3-Hydroxy-5-[3,4,5-Trihydroxy-6-(Hydroxymethyl)Tetrahydropyran-2-Yl]Oxy-4-(3,4,5-Trihydroxy-6-Methyl-Tetrahydropyran-2-Yl)Oxy-Tetrahydropyran-2-Carboxylic Acid; 6-[(4-Formyl-10-Hydroxy-4,6A,6B,11,11,14B-Hexamethyl-8-Oxo-1,2,3,4A,5,6,7,8A,9,10,12,12A,14,14A-Tetradecahydropicen-3-Yl)Oxy]-3-Hydroxy-5-[[3,4,5-Trihydroxy-6-(Hydroxymethyl)-2-Tetrahydropyranyl]Oxy]-4-[(3,4,5-Trihydroxy-6-Methyl-2-Tetrahydropyranyl)Oxy]-2-Tetrahydropyrancarboxylic Acid; 6-[(4-Formyl-10-Hydroxy-8-Keto-4,6A,6B,11,11,14B-Hexamethyl-1,2,3,4A,5,6,7,8A,9,10,12,12A,14,14A-Tetradecahydropicen-3-Yl)Oxy]-3-Hydroxy-5-(3,4,5-Trihydroxy-6-Methylol-Tetrahydropyran-2-Yl)Oxy-4-(3,4,5-Trihydroxy-6-Methyl-Tetrahydropyran-2-Yl)Oxy-Tetrahydropyran-2-Carboxylic Acid
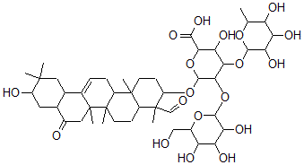
Molecular Structure CAS#: 142628-19-1, Melandrioside A
Molecular Formula C47H72O19
Molecular Weight 941.07
CAS Registry Number 142628-19-1
SMILES C(O)C8OC(OC6C(OC5C(C4C(C1C(C2(C(=CC1)C3C(C(=O)C2)CC(O)C(C3)(C)C)C)(CC4)C)(CC5)C)(C=O)C)OC(C(O)C6OC7OC(C(O)C(O)C7O)C)C(=O)O)C(O)C(O)C8O
InChI 1S/C47H72O19/c1-19-29(52)31(54)33(56)40(61-19)64-36-35(58)37(39(59)60)65-42(38(36)66-41-34(57)32(55)30(53)24(17-48)62-41)63-28-11-12-44(4)25(45(28,5)18-49)10-13-46(6)26(44)9-8-22-21-15-43(2,3)27(51)14-20(21)23(50)16-47(22,46)7/h8,18-21,24-38,40-42,48,51-58H,9-17H2,1-7H3,(H,59,60)
InChIKey RJMAQKQCAFVGQF-UHFFFAOYSA-N
Properties
Density 1.455g/cm3 (Cal.)
Boiling point 1046.152°C at 760 mmHg (Cal.)
Flash point 300.593°C (Cal.)
Market Analysis Reports
List of Reports Available for Melandrioside A
Related Products
3,5,6-Trihydroxy-4,6-Bis(3-Methylbut-2-E...  (2S,3S,4S,5R,6R)-6-[(2R,3R,4S,5S,6R)-4,5...  5-[3,4-Dihydroxy-4-(Hydroxymethyl)Oxolan...  Methyl (2S)-2-[[[(2S,3S,5R)-3-Azido-5-(5...  [(2S,3S,5R)-3-Azido-5-(5-Methyl-2,4-Diox...  Songbaisine A  (2Z,4E,6Z,8E)-4-Fluoro-3,7-Dimethyl-9-(2...  (3R)-1-[[4-[[(3R)-3-(Diethylcarbamoyl)Pi...  (10R,11S,12S)-11,12-Dihydro-12-Hydroxy-6...  (+)-Calanolide B  Beticolin 1  (1S,2R,3S,4R)-4-(6-Aminopurin-9-Yl)Cyclo...  (4E,8E)-N-[(E)-6-(3,3-Dimethyloxiran-2-Y...  [2,6-Di(Propan-2-Yl)Phenyl] N-[2,6-Di(Pr...  [(2S,3S,5R)-3-Azido-5-(3,5-Dimethyl-2,4-...